27.06.2017 Сервер Статистики aka Автоматизация измерений Эпизод II

Материал из SRNS
Перейти к: навигация, поиск

StatServer.PNG

Данная страница продолжает дело создания Сервера Статистики и написана по мотивам нескольких статей: этой, этой и этой.

Написана она для того, чтобы подвести итог и чтобы потом не забыть, как это сделано и работает сейчас.

Пути улучшения, как всегда, есть, но это дело будущего.

Содержание

Что за Сервер Статистики?

Сервер Статистики - отдельно выделенный компьютер, работающий круглосуточно, к которому подключены различные приемники, в свою очередь, решающиеся по одной антенне. На данный момент подключены Javad Lexon GGD, Swift Navigation Piksi и наш Oryx в серой коробке походном исполнении. Далее в статье Oryx фигурирует под мейнстримовым названием MCR. IP сервера 192.168.0.94, кодовое имя Evaluator, пользователь nsl, пароль известен.

Чего он там делает?

На протяжении суток Сервер Статистики пишет логи себе в /tmp, а в начале каждых суток (00:01) решается по ним, строит картинки, делает некоторые статистические (вот почему Сервер Статистики, а не логов) вычисления и шлет это на заданные почтовые адреса.

После этого для Javad и Oryx логи копируются в папку /home/CommonFiles/logs, затем стираются. Для Piksi, в настоящее время, логи слишком тяжелы, потому копируется только один, уже обработанный, файл - piksi.obs.

Необходимые скрипты находятся в папке /home/CommonFiles/scripts.

Необходимые программы в папке /home/CommonFiles/progs.

Как заставить приемники делиться логами?

Для этого существуют скрипты.

Javad не имеет ethernet возможностей, потому для него два скрипта.

Первый, настраивает приемник и запускает трансляцию данных в сеть - broadcast_javad:

#!/bin/bash

PORT=/dev/ttyUSB0

stty -F $PORT raw
stty -F $PORT 115200 cs8 -parenb -cstopb -ixon

echo "em,,def:{1,,}" > $PORT
echo "em,,jps/gd"    > $PORT
echo "em,,jps/qd"    > $PORT
echo "em,,jps/WD"    > $PORT

nc -l -p 3500 < $PORT

Второй скрипт пишет логи - start_javad_log:

#!/bin/bash

IP=127.0.0.1
TcpPort=3500

DIR=/tmp/
FILE=javad.log

curl $IP:$TcpPort > $DIR/$FILE


MCR транслирует по сети протокол BINR через порт 3491. Для записи логов - start_mcr_log:

#!/bin/bash

IP=192.168.0.163
TcpPort=3491

DIR=/tmp/
FILE=mcr.log

curl $IP:$TcpPort > $DIR/$FILE


Piksi пишет лог с помощью GUI программы swift_console в формате JSON, скрипт start_piksi_log:

#!/bin/bash

IP=192.168.0.222
TcpPort=55555
DIR=/tmp
FILE=piksi.log

echo /home/CommonFiles/progs/swift_console_v1.0.A_linux/console -t -p $IP:$TcpPort -l -o $DIR --logfilename $FILE
DISPLAY=:1 /home/CommonFiles/progs/swift_console_v1.0.A_linux/console -t -p $IP:$TcpPort -l -o $DIR --logfilename $FILE

Сервер Статистики не имеет экрана, но должен запускать GUI приложение, по крайней мере на данный момент так. При запуске GUI приложений выдаются ошибки об отсутствии дисплея и завершении программы, это несколько странно, ведь наш сервер живет и вроде бы здравствует без экрана, а здесь в качестве выхода из ситуации поднят виртуальный X-сервер, который называется Xvfb, он загружается автоматически при старте системы. Сделано это так. Соответственно, при запуске swift_console принудительно указывается этот виртуальный экран - DISPLAY=:1.

Посмотреть на виртуальный экран можно командой:

ssvncviewer 192.168.0.94:5900

Swift console.png

Транслирующий изображение x11vnc также запускается автоматически, но иногда умудряется просто прекращать свою работу, тогда необходимо запустить скрипт run_vnc:

#!/bin/bash

x11vnc -display :1 -bg -nopw -listen 192.168.0.94 -xkb

Доступные сетевые сервисы Сервера Статистики, в том числе проверить работу ssvnc, можно командой:

nmap -O 192.168.0.94

VNC StatServer.png

И что теперь делать с этими логами?

Обработать.

Шаг 1. Конвертировать собранные логи в RINEX формат, поможет convert_all_to_rinex:

#!/bin/bash

DIR=/tmp

JAVAD=$DIR/javad.log
MCR=$DIR/mcr.log
PIKSI=$DIR/piksi.log

echo Javad: $JAVAD
convbin $JAVAD -r javad

echo MCR: $MCR
convbin $MCR -r nvs

echo Piksi: $PIKSI
export PIKSI_OUT=`echo $PIKSI | sed 's/\.log/\.obs/'`
/home/CommonFiles/progs/piksi_tools/piksi_tools/sbp2rinex.py $PIKSI -o $PIKSI_OUT

echo "All convert!"

Для Javad и MCR используется скомпилированная программа convbin из RTKLib, для Piksi используется sbp2rinex.py, предоставляемая Swift Navigation.

Шаг 2. Рассчитать решение, solve_all_from_rinex:

#!/bin/bash

DIR=/tmp

JAVAD=$DIR/javad.obs
MCR=$DIR/mcr.obs
PIKSI=$DIR/piksi.obs

NAV=`echo $MCR | sed 's/\.obs/\.nav/g'`
GNAV=`echo $MCR | sed 's/\.obs/\.gnav/g'`

REF="2846044.0 2200316.0 5249376.0"

OUT=`echo $JAVAD | sed 's/\.obs/\.pos/g'`
echo "Javad: $JAVAD  -> $OUT"
rnx2rtkp -r $REF -p 0 $JAVAD $NAV $GNAV -e > $OUT

OUT=`echo $MCR | sed 's/\.obs/\.pos/g'`
echo "MCR: $MCR  -> $OUT"
rnx2rtkp -r $REF -p 0 $MCR $NAV $GNAV -e > $OUT

OUT=`echo $PIKSI | sed 's/\.obs/\.pos/g'`
echo "Piksi: $PIKSI  -> $OUT"
rnx2rtkp -r $REF -p 0 $PIKSI $NAV $GNAV -e > $OUT

echo "All solve!"

Используется скомпилированная программа rnx2rtkp из RTKLib, -r REF - задается опорная точка, -p 0 - задается режим работы (0 - single), -e - формат выдачи данных (e - X/Y/Z ECEF).

Когда уже статистика?

Вот теперь.

Визуализируем полученные данные, plot_all:

#!/bin/bash

DIR=/tmp

JAVAD=$DIR/javad.pos
MCR=$DIR/mcr.pos
PIKSI=$DIR/piksi.pos

JAVAD_OUT=`echo $JAVAD | sed 's/\.pos/\.plane/g'`
echo "$JAVAD  ->   $JAVAD_OUT"
cat $JAVAD | grep -v "^%" | awk '{print $3" "$4}' > $JAVAD_OUT
#cat $JAVAD | grep -v "^%" | awk '{print $3$4$5" "$6$7$8}' > $JAVAD_OUT

MCR_OUT=`echo $MCR | sed 's/\.pos/\.plane/g'`
echo "$MCR   ->  $MCR_OUT"
cat $MCR | grep -v "^%" | awk '{print $3" "$4}' > $MCR_OUT
#cat $MCR | grep -v "^%" | awk '{print $3$4$5" "$6$7$8}' > $MCR_OUT

PIKSI_OUT=`echo $PIKSI | sed 's/\.pos/\.plane/g'`
echo "$PIKSI   ->  $PIKSI_OUT"
cat $PIKSI | grep -v "^%" | awk '{print $3" "$4}' > $PIKSI_OUT
#cat $PIKSI | grep -v "^%" | awk '{print $3$4$5" "$6$7$8}' > $PIKSI_OUT

#pl $MCR_OUT_SKIP $PIKSI_OUT_SKIP $JAVAD_OUT_SKIP

SKIP=1000

MCR_OUT_SKIP=`echo $MCR_OUT | sed 's/\.plane/\.plane_skip/g'`
echo "$MCR_OUT   ->  $MCR_OUT_SKIP"
cat $MCR_OUT | tail -n +$SKIP > $MCR_OUT_SKIP

JAVAD_OUT_SKIP=`echo $JAVAD_OUT | sed 's/\.plane/\.plane_skip/g'`
echo "$JAVAD_OUT   ->  $JAVAD_OUT_SKIP"
cat $JAVAD_OUT | tail -n +$SKIP > $JAVAD_OUT_SKIP

PIKSI_OUT_SKIP=`echo $PIKSI_OUT | sed 's/\.plane/\.plane_skip/g'`
echo "$PIKSI_OUT   ->  $PIKSI_OUT_SKIP"
cat $PIKSI_OUT | tail -n +$SKIP > $PIKSI_OUT_SKIP

octave --eval "graphics_toolkit('gnuplot');
fid=fopen(\"$MCR_OUT_SKIP\", 'r');
mcr_plot=fscanf(fid, '%f %f\n', [2 Inf]);
fclose(fid);
fid=fopen(\"$JAVAD_OUT_SKIP\", 'r');
javad_plot=fscanf(fid, '%f %f\n', [2 Inf]);
fclose(fid);
fid=fopen(\"$PIKSI_OUT_SKIP\", 'r');
piksi_plot=fscanf(fid, '%f %f\n', [2 Inf]);
fclose(fid);
fig = figure();
set (fig, 'visible', 'off');
mcr_plot(1,:) = mcr_plot(1,:)-2846044; piksi_plot(1, :) = piksi_plot(1, :)-2846044; javad_plot(1, :) = javad_plot(1, :)-2846044;
mcr_plot(2,:) = mcr_plot(2,:)-2200316; piksi_plot(2, :) = piksi_plot(2, :)-2200316; javad_plot(2, :) = javad_plot(2, :)-2200316;
plot(mcr_plot(1, :), mcr_plot(2, :),'r-*', piksi_plot(1, :), piksi_plot(2, :),'g-+', javad_plot(1, :), javad_plot(2, :),'b-x');
grid on; set (gca, 'FontSize', 14);
MCR_smpl = length(mcr_plot); piksi_smpl = length(piksi_plot); javad_smpl = length(javad_plot);
samples_str = sprintf('Solutions statistics [MCR: %d, Piksi: %d, Javad: %d]', MCR_smpl, piksi_smpl, javad_smpl);
title (samples_str);
xlabel('X, m');
ylabel('Y, m');
box('off');
Std_MCR = sqrt((norm(mcr_plot,'fro')^2)/MCR_smpl);
Std_Piksi = sqrt((norm(piksi_plot,'fro')^2)/piksi_smpl);
Std_Javad = sqrt((norm(javad_plot,'fro')^2)/javad_smpl);
MCR_lgn = sprintf('MCR: %0.2f m', Std_MCR);
Piksi_lgn = sprintf('Piksi: %0.2f m', Std_Piksi);
Javad_lgn = sprintf('Javad: %0.2f m', Std_Javad);
lgn = legend(MCR_lgn,Piksi_lgn,Javad_lgn,'Location','southeast');
time = strftime ('%Y-%m-%d_%H_%M_%S', localtime (time ()));
mess = sprintf('%s.png', time);
tic ()
print (fig,mess,'-S1024,768','-dpngcairo');
toc ()"


echo "All plot!"

Скрипт может откинуть начальные измерения, например, чтобы исключить начальные искажения, в данном случае откидываются SKIP 1000 начальных измерений.

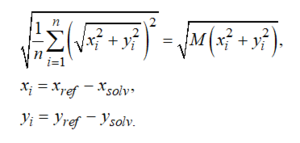
В построении графиков поможет Octave. В него парсятся данные из созданных выше файликов, строятся графики, подсчитывается количество измерений и рассчитывается стандартное отклонение измерений относительно опорной точки по каждому приемнику. Std StatServer.PNG

n - количество накопленных измерений.

Получается картинка примерного такого вида:

2017-06-27 00 08 30.png

Достаточно важным моментом здесь является выбор "рендера" и выдаваемого формата файла:

graphics_toolkit('gnuplot')
...
print (fig,mess,'-S1024,768','-dpngcairo');

Cairo - наиболее быстрый (проверено экспериментально) способ вывода. Работает только при graphics_toolkit('gnuplot'). Иначе, процесс сохранения картинки занимает баснословное количество времени.

Где искать эти картинки?

Картинки сохраняются в папку к скопированным логам /home/CommonFiles/logs.

И всё?

Нет, еще картинки отправляются по почте, следующим образом send_mail:

#!/bin/bash

ATTACHMENT=`find -name '*.png'`
echo $ATTACHMENT
echo " " | mailx -r "srtt@evaluator (Daily solutions)" -s "Solutions statics" -a $ATTACHMENT ****@gmail.com
echo " " | mailx -r "srtt@evaluator (Daily solutions)" -s "Solutions statics" -a $ATTACHMENT *******@srns.ru
cp $ATTACHMENT /home/CommonFiles/logs
rm -rf $ATTACHMENT
echo "Email successfully sent!"

После отправки картинка копируется в папку logs и удаляется.

Как очищаются логи?

Инквизицией! Шутка. Пока идет запись логов, их файлы защищены на запись, следовательно, придется прервать запись, убив фоновые процессы, скрипт kill_logs_pid:

#!/bin/bash

pid_log=`ps aux | grep '\(start_\|swift\|curl\|broadcast_\)'| awk '{print $2}'`
kill $pid_log
echo "Pids killed!"

Скрипт очищающий логи refresh_logs:

#!/bin/bash

Data=$(date +%Y-%m-%d)
Time=$(date +%H_%M_%S)
mkdir /home/CommonFiles/logs/$Data"_"$Time
cp /tmp/javad.* /home/CommonFiles/logs/$Data"_"$Time
cp /tmp/mcr.* /home/CommonFiles/logs/$Data"_"$Time
cp /tmp/piksi.obs /home/CommonFiles/logs/$Data"_"$Time
cp /dev/null /tmp/javad.log
cp /dev/null /tmp/mcr.log
cp /dev/null /tmp/piksi.log
echo "Logs refreshed!"

При вызове скрипта фиксируется дата и время, после чего логи для Javad и MCR копируются в соответствующую папку в /home/CommonFiles/logs/. Для Piksi копируются только уже обработанный файл - piksi.obs.

Хочу один скрипт для вызова всего!

И он есть у нас. Один скрипт, чтобы править всеми. Его название process_all:

#!/bin/bash

convert_all_to_rinex
solve_all_from_rinex
plot_all
send_mail
kill_logs_pid
refresh_logs
echo "All done!"


UPD. Время показало, что пока Piksi пишет "тяжелые" логи, они долго обрабатываются. В данном случае пришлось разделить скрипты. Обработка логов conv_n_solv:

#!/bin/bash

convert_all_to_rinex
solve_all_from_rinex

От этого немного похудел process_all:

#!/bin/bash

plot_all
send_mail
kill_logs_pid
refresh_logs
echo "All done!"

А где же автоматизация?

Автоматизируется Сервер Статистики программированием его расписания с помощью планировщика crontab, для этого необходимо указать ему расписание,

crontab ./cron

заполненное специальным образом cron:

SHELL=/bin/bash
MAILTO=srtt
PATH=/sbin:/bin:/usr/sbin:/usr/bin:/home/CommonFiles/scripts:/home/CommonFiles/progs/RTKlib:
00 00 * * * "bash -c `conv_n_solv`"
00 01 * * * "bash -c `process_all`"
15 01 * * * "bash -c `broadcast_javad`"
16 01 * * * "bash -c `start_javad_log`"
17 01 * * * "bash -c `start_mcr_log`"
18 01 * * * "bash -c `start_piksi_log`"

Обязательно указывается пользователь MAILTO, от которого будут выполнены запланированные команды, и пути нахождения необходимых программ PATH. Предполагается, что ранее сбор логов был запущен и 00:00 уже пойдет над ними работа.

Формат записи строчки расписания такой:

01       00    *             *       *             "bash -c `process_all`"
минута   час   день_месяца   месяц   день_недели   команда

Первое число обозначает минуту, второе час, то есть запуск всех процессов произойдет в одни минуту первого ночи. Звездочку вместо числа следует трактовать как слово каждый, то есть каждого дня месяца, каждого месяца, каждого дня недели. Тонкости настройки crontab легко ищутся в интернете, например, вот и вот.

Соответственно, скрипты на запись логов запускаются в 01:00, потому что процессы обработки могут затягиваться, часа точно должно хватить.

Посмотреть текущее расписание можно командой:

crontab -l

Удалить текущее расписание:

crontab -r


P.S.

Вот примерно так всё и работает!

[ Хронологический вид ]Комментарии

(нет элементов)

Войдите, чтобы комментировать.

Персональные инструменты
Пространства имён

Варианты
Действия
SRNS Wiki
Рабочие журналы
Приватный файлсервер
QNAP Сервер
Инструменты