02.04.2021 Домашняя радиолиния Master-Slave

Материал из SRNS
Перейти к: навигация, поиск


Данная страница фиксирует успехи и неудачи в создании радиолинии Master-Slave.

Содержание

Справочные данные

  • Согласованная нагрузка ANNE-50CN+ имеет предельную мощность 1 Вт;
  • Каплер ZARC-25-252-S+ имеет предельную мощность 100 Вт (550 - 1500 МГц) и 80 Вт (1500-2500 МГц);

Эпизод I

Экспериментальный стенд 1

Cобранный экспериментальный стенд содержит в себе 1-ин Маяк ЛНС0, 1-ну бобину кабеля, 1-ин сплиттер, 2-а анализатора спектра (АС), соответственно, для Master и Slave. Также используются 2-е антенны и набор соединительных кабелей. Расстояние между антеннами 6 м.

Настройки AD9361 из конффайла:

AD9361:
    - TxNum: 1
      rxLOfreq: 1600e6
      txLOfreq: 1214e6
      rxBW: 50e6
      txBW: 50e6
      refFreq: 40e6
      bbLOfreq: 960e6
      txAtt: 0

Представить экспериментальный стенд 1 можно так:


Пару слов о цифрах. Излучаемая с Адикусу (120) мощность в полосе 2 МГц на частоте 1.2 ГГц равна -4.94 дБм (0.32 мВт) при txAtt:0. Усилитель мощностью (УМ) 36.99 дБм (5 Вт) имеет коэффициент усиления (Кус) равный 45.98 дБ для выбранной частоты 1.2 ГГц. Потери на бобине кабеля составляют -30 дБ для выбранной частоты 1.2 ГГц. Потери на сплиттере -3 дБ и в кабеле до АС -0.9 дБ.

Таким образом получаем 7.14 дБм, на входе АС 1, однако АС 1 показывает 2.97 дБм, а значит разница составляет 4.17 дБм, т.е. УМ перегружен на 4 дБ.

Подаваемая мощность с Адикуса -4.94 при усилении на 45.98 дБ при расчетах должна составлять 41.04 дБм, однако усилитель мощности не может выдать более 36.99 дБм, значит для расчетов необходимо использовать эту цифру, т.е. 36.99-30-3-0.9 = 3.09, что превышает показания АС 1 на 0.12 дБ, которые, вероятно, уходят в потери внутри Маяка после УМ.

Наблюдения

Мощности

  • Мощность в полосе 2 МГц на АС 1 равна: 2.97 дБм;
  • Мощность в полосе 2 МГц на АС 2 равна: - 44.80 дБм.



  • Мощность на выходе с каплера равна: 12.21 дБм;



Ответвление каплера ослабляет сигнал на 24 дБ (и по даташиту и по нашим измерениям), следовательно мощность на выходе усилителя 12.21+0.9+24=37.11, значит УМ действительно выдает 5 Вт максимальной мощности.

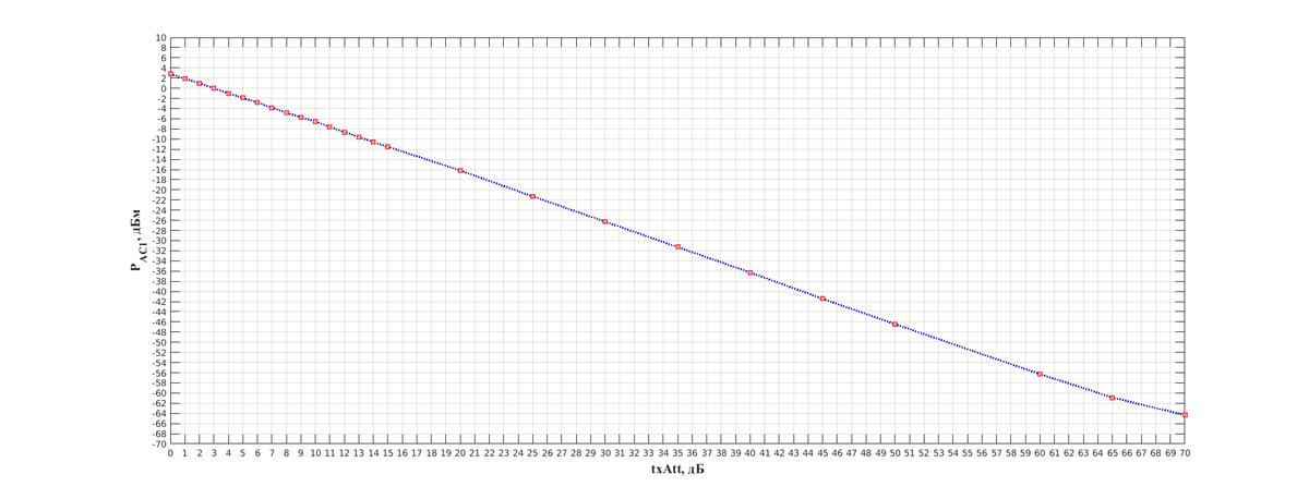
Аттенюация через AD9361

Варьируя параметр аттенюации в AD9361 - txAtt от 0 до 70 был получен следующий график:

TxAtt Power.png
  • График линейный;
  • Начиная от 60 дБ txAtt и выше понижение сигнала начинает "обнажать" палку гетеродина, уровень которой не понижается.
  • Тезис о перегруженности УМ на 4 дБ не находит подтверждения, т.к. при включении txAtt уровень излучения на АС1 сразу же начинает снижаться.

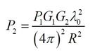
Кус`ь клеверной антенны

В стенде используются перспективные разработанные клеверные антенны, коэффициент усиления (Кус`ь) которых неизвестен. Имея мощность на передающей стороне и на стороне приема можем рассчитать Кус`ь клеверной антенны.

Воспользуемся основным уравнением радиолокации:

Main RL equation.jpg



,


где длина волны (λ) для 1200 МГц равна 0.2498 м, уровень мощности на передающей стороне (P1) = 2.97 дБм, уровень мощности на приемной стороне (P2) = -44.8 дБм, расстояние (R) = 6 м. Для нашего случае справедливо будет положить G1=G2=G. Таким образом, после подставления, получаем G = 0.7612 = -1.1849 дБ. При таком расчёте не учтены потери на проводах, которые идут непосредственно от антенны, хотя P1 значение зафиксировано на входе АС после кабеля, эквивалентного тому, что идет к антенне (т.е потери в кабеле до 1 дБ). Учитывая это, считаем, что на входе приемной антенны уровень мощности сигнала составляет -42.8 дБм, тогда G = 1.2065 = 0.8151 дБ, т.е. примерно 1 дБ, что по словам разработчиков, уже похоже на правду.

При этом, также, необходимо знать и учитывать ослабление в антенном подводящем (комплектном) кабеле, т.е. для расчетов будем считать, что антенна с кабелем выступают как единое целое, способное повысить мощность излучения, если Кус`ь антенны выше, чем потери в подводящем антенном кабеле или понизить мощность, если Кус`ь антенны ниже, чем потери в подводящем кабеле. Для этого рассчитаем радиолинию, где суммарный Кус`ь антенны и подводящего кабеля положим единым, но неизвестными и одинаковыми как со стороны приема, так и со стороны передатчика. При таком допущении получаем, что суммарный Кус`ь антенны и подводящего кабеля равен -0.11 дБ, т.е. усиление антенны практически компенсирует ослабление в кабеле.

Расчеты

Диапазон мощности Master

В итоге максимальная излучаемая мощность с антенны передатчика составляет ~36.98 дБм (5 Вт) с учётом суммарного Кус`ь антенны и подводящего кабеля (Прим. При максимальном подъеме антенны придется нарастить длину кабеля, что несколько увеличит потери). Следовательно, динамический диапазон, доступный при излучении с антенны Master составляет от 36.98 дБм до -28.02 дБм, с учетом аттенюации на AD9361 от 0 до 65 дБ. На данный момент эти цифры экспериментально подтверждены на 120ом ЛНС0.

Потери в радиолинии

Потери в радиолинии легко посчитать по формуле 22+20*log10(R/λ), соответственно, для домашней радиолинии в 6 м на частоте 1.2 ГГц, расчёт будет следующим 22+20*log10(6/0.2498) = 49.6112 дБ потерь, а, например, для 1 км идеального пространства (такого не бывает) потери будут 22+20*log10(1000/0.2498)=94.0482 дБ, что вкупе с динамическим диапазоном излучения от 36.98 дБм до -28.02 дБм даст от -57.0682 дБм до -122.0682 дБм на входе приемной антенны.

Экспериментальный стенд 2

Экспериментальный стенд преобразился в части Slave (приемной). В качестве приемной антенны используется Harxon HX-CSX601A - активная антенна с коэффициентом усиления +40 дБ. Питание антенны подмешивается через BIAS-TEE ZFBT-4R2G+, а берется с HAMEG`а. Напряжение от 3.3 до 12 В, сила тока 0.45 мА. Сплиттер разделяет приходящий сигнал на два потока, один из которых идёт в АС2, а второй на вход ANT_1 ЛНС0(118 Adicus). Плюсом, а точнее минусом, идёт набор соединительных кабелей. Расстояние между антеннами осталось неизменным и составляет 6 м.


Представить экспериментальный стенд 2 можно так:


Наблюдения

Мощности

  • Мощность в полосе 2 МГц на АС 1 равна: 12.3 дБм;
  • Мощность в полосе 2 МГц на АС 2 равна: -9.5 дБм.



Экспериментальный стенд 3

Экспериментальный стенд снова преобразился в части Slave (приемной). Добавился АС3, подключенный на выход MMCX разъема ADboard.

Представить экспериментальный стенд 3 можно так:


Наблюдения

Мощности

  • Мощность на несущей частоте 1.2 ГГц в полосе 2 МГц на АС 2 равна: -9.1 дБм;
  • Мощность на несущей частоте 1.2 ГГц в полосе 2 МГц на АС 3 равна: -0.53 дБм;
  • Коэффициент усиления МШУ на ADboard после разъема ANT_IN равен: ~8.67 дБ на несущей частоте 1.2 ГГц.
  • Мощность на несущей частоте 1.57542 ГГц в полосе 2 МГц на АС 2 равна: -25.5 дБм;
  • Мощность на несущей частоте 1.57542 ГГц в полосе 2 МГц на АС 3 равна: -15 дБм;
  • Коэффициент усиления МШУ на ADboard после разъема ANT_IN равен: ~10.6 дБ на несущей частоте 1.57542 ГГц.


Аттенюация через SKY12347

Варьируя параметр аттенюации в ADboart (SKY12347) - от 0 до 70 был получен следующий график:

ATTSKY Power.png
  • График линейный;
  • Начиная от 63 дБ аттенюации достигается максимально возможный уровень ослабления сигнала.

Усиление через NT1065 "Nomada"

Возможно позже...

Эпизод II

Экспериментальный стенд 4

Экспериментальный стенд 4 повторяет экспериментальный стенда 2, за исключением пониженных уровней излучения (достигается за счет аттенюаторов):

Настройки AD9361 из конффайла для Master:

AD9361:
    - TxNum: 1
      rxLOfreq: 1600e6
      txLOfreq: 1200e6
      rxBW: 50e6
      txBW: 50e6
      refFreq: 40e6
      bbLOfreq: 960e6
      txAtt: 30

Настройки SKY12347 из конффайла для Slave:

SKY12347:
    - rxAtt1: 0.0
      rxAtt1: 0.0



Мощности:

  • Мощность на несущей частоте 1.2 ГГц в полосе 2 МГц на АС 1 равна: -15.4* дБм;
  • Мощность на несущей частоте 1.2 ГГц в полосе 2 МГц на АС 2 равна: -38.** дБм;

Наблюдения

При расширении полосы сигнала в 10 раз, т.е. до 20.46 МГц (сигнал непрерывный):

  • Мощность на несущей частоте 1.2 ГГц в полосе 20 МГц на АС 1 равна: -15.7* дБм;
  • Мощность на несущей частоте 1.2 ГГц в полосе 20 МГц на АС 2 равна: -38.** дБм;

При расширении полосы сигнала в 20 раз, т.е. до 40.92 МГц (сигнал непрерывный):

  • Мощность на несущей частоте 1.2 ГГц в полосе 40 МГц на АС 1 равна: -16.7* дБм;
  • Мощность на несущей частоте 1.2 ГГц в полосе 40 МГц на АС 2 равна: -38.** дБм;

Примечание: на функцию АС "Измерение мощности в полосе" влияют параметры RBW и VBW, для измерения их лучше всего выставлять в пресет auto.


[ Хронологический вид ]Комментарии

(нет элементов)

Войдите, чтобы комментировать.

Персональные инструменты
Пространства имён

Варианты
Действия
SRNS Wiki
Рабочие журналы
Приватный файлсервер
QNAP Сервер
Инструменты