29.03.2019 Отладка трансивера - весна 2019
Рекомендации по записи экспериментов
Результаты испытаний нужно записывать, чтобы сравнивать текущий результат с тем, что было когда-то и не повторять одинаковые эксперименты.
Желательно записывать следующие данные:
- дату испытания (в заголовке);
- номер ревизии PL;
- номер ревизии PS;
- экземпляр приемника;
- условия;
- цель;
- ожидаемые результаты;
- фактические результаты;
- выводы.
2019.03.29 - Ночной тест MCR1
- номер ревизии PL: из bin соответствующей ревизии
- номер ревизии PS: f819e3f0eb58821bf3dba23844136dcc9b294adc с небольшими изменениями (main тактируются процессорным временем вместо плисовского)
- экземпляр приемника: MCR1 плата 61;
- условия: антенна на крыше Е;
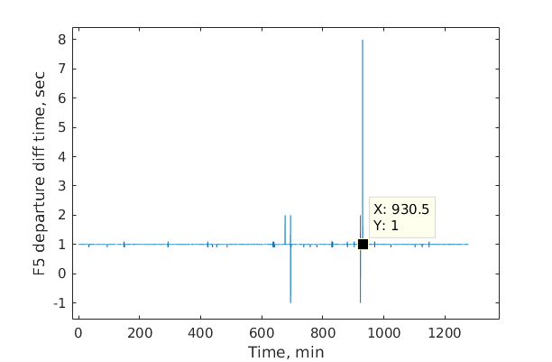
Приемник проработал ночь, всё ещё трудится. Забито 60 каналов, в F5 около 50 сигналов.
Сообщений от sendMeas о неадекватном времени нет. Но если посмотреть на F5 пакет, то за это время были проблемы:
- два соседних пакетика в F5 поменяны местами (два раза такое возникло)
- пропущена одна секунда полностью (один раз)
- пропущено 8 секунд (один раз) (вроде бы соответствует проблемам с прерываниями на 930 минуте, там между прерываниями вдруг 4 мс)
Время возникновения проблем в SRNS F5:
SbsL1SD 20: Wrong (big) dt at 737513.064016 day (437533000.000000), dt = 1.999999/ 1.000005
SbsL1SD 20: Wrong (big) dt at 737513.064039 day (437534000.000000), dt = 1.999999/ 1.000005
SbsL1SD 20: Wrong (big) dt at 737513.222882 day (451261000.000000), dt = 1.999999/ 1.000005
SbsL1SD 20: Wrong (big) dt at 737513.222905 day (451262000.000000), dt = 1.999999/ 1.000005
SbsL1SD 20: Wrong (big) dt at 737513.227662 day (451682000.000000), dt = 8.000007/ 1.000005
Время возникновения проблем в BINR F5 (обрабатывался уже через рабочий день, т.е. выборка длиннее):
SbsL1SD 20: Wrong (big) dt at 737513.227801 day (451682000.000000), dt = 1.999999/ 1.000005
SbsL1SD 20: Wrong (big) dt at 737513.553657 day (479841000.000000), dt = 3.999998/ 1.000005
SbsL1SD 20: Wrong (big) dt at 737513.553738 day (479849000.000000), dt = 3.999998/ 1.000005
SbsL1SD 20: Wrong (big) dt at 737513.553819 day (479857000.000000), dt = 3.999998/ 1.000005
SbsL1SD 20: Wrong (big) dt at 737513.553912 day (479866000.000000), dt = 3.999998/ 1.000005
SbsL1SD 20: Wrong (big) dt at NaN day (479874000.000000), dt = 3.999998/ 1.000005
SbsL1SD 20: Wrong (big) dt at 737513.554051 day (479882000.000000), dt = 3.999998/ 1.000005
SbsL1SD 20: Wrong (big) dt at 737513.554225 day (479911000.000000), dt = 3.999998/ 1.000005
SbsL1SD 20: Wrong (big) dt at 737513.554699 day (480085000.000000), dt = 1.999999/ 1.000005
Проблемы совпадают только в момент жесткого лага, когда в SRNS пропущены 8 секунд.
Пропуск 8 секунд
Сообщения об отправке F5 при пропуске 8 секунд выглядели при этом так:
|N1->55818.263793 DebugR: 1313134.000000 1000.000000 52.000000
|N1->55819.263959 DebugR: 1313134.000000 1000.000000 53.000000
|N1->55827.263756 DebugR: 1313134.000000 1000.000000 52.000000
|N1->55828.263959 DebugR: 1313134.000000 1000.000000 52.000000
Между сообщениями о выделении эфемерид до инцидента и после - 30 секунд, так что дело не в currCPUTime. Складывается ощущение, что часть пакетов просто ушла в /dev/null
|N1->55819.238947 RcvTimeRegs: t=106092.00000/106092.00000 s (WN=2569/2569, TOW=106092/106092\106091, epoch= 0/0.0000\962, chip= 0\ 37765, ph=0) uncert 5995849 m
|N1->55819.263959 DebugR: 1313134.000000 1000.000000 53.000000
|N1->55819.330296 012 0R GpsL5 № 6 TrgRangeDopp from GpsL1CA: +0.08286345 s +- 50.0 m at -2470 Hz +- 1.0 m/s, snr: 46 dBHz
|N1->55819.330315 019 0R GpsL5 № 9 TrgRangeDopp from GpsL1CA: +0.06744520 s +- 50.0 m at -725 Hz +- 1.0 m/s, snr: 56 dBHz
|N1->55819.330315 021 0R GpsL2C № 10 TrgRangeDopp from GpsL1CA: +0.06725758 s +- 50.0 m at -756 Hz +- 1.0 m/s, snr: 34 dBHz
|N1->55819.330499 012 0R GpsL5 № 6 TargetInit: tau = 82.8635 ms, f = -2470 Hz, sigma range = 5.000000e+01 m, sigma vel = 1.000000e+00 m/s, T= 1.0 ms, NN=40
|N1->55819.330518 012 0R GpsL5 № 6 StartTracking: freq: -2470 Hz, snr: 30 dBHz corr 16
|N1->55819.330536 019 0R GpsL5 № 9 TargetInit: tau = 67.4452 ms, f = -725 Hz, sigma range = 5.000000e+01 m, sigma vel = 1.000000e+00 m/s, T= 1.0 ms, NN=40
|N1->55819.330536 019 0R GpsL5 № 9 StartTracking: freq: -725 Hz, snr: 30 dBHz corr 33
|N1->55819.330554 021 0R GpsL2C № 10 TargetInit: tau = 67.2576 ms, f = -756 Hz, sigma range = 5.000000e+01 m, sigma vel = 1.000000e+00 m/s, T= 2.0 ms, NN=40
|N1->55819.330554 021 0R GpsL2C № 10 StartTracking: freq: -756 Hz, snr: 30 dBHz corr 42
|N1->55819.331789 012 0R GpsL5 № 6 SgnTimeCorrReq: dEpoch=0 dSec=451692 dWeek=2046, not final from aiming
|N1->55819.331789 019 0R GpsL5 № 9 SgnTimeCorrReq: dEpoch=0 dSec=451692 dWeek=2046, not final from aiming
|N1->55819.331808 021 0R GpsL2C № 10 SgnTimeCorrReq: dEpoch=0 dSec=451692 dWeek=2046, not final from aiming
|N1->55819.332840 012 0R GpsL5 № 6 SgnTimeCorrDone: tchan=0 dEpoch=0->0 dSec=0->451692 dWeek=0->2046
|N1->55819.332858 019 0R GpsL5 № 9 SgnTimeCorrDone: tchan=0 dEpoch=0->0 dSec=0->451692 dWeek=0->2046
|N1->55819.332877 021 0R GpsL2C № 10 SgnTimeCorrDone: tchan=604799998 dEpoch=0->0 dSec=0->451692 dWeek=0->2046
|N1->55826.638832 015 0R GpsL2C № 8 NonKoherentLoss: f: -1602 Hz q: -inf dBHz
|N1->55826.638832 015 0R GpsL2C № 8 SignalStop: too low SNR
|N1->55826.640399 015 0R GpsL2C № 8 SignalStop: a reason is not specified
|N1->55826.663347 005 0R GpsL1CA № 3 NavMsgGpsL1CANewFrame: WN=2046, TOW=451680, time 29.03.2019 05:28:00
|N1->55826.663402 024 0R GpsL1CA № 12 NavMsgGpsL1CANewFrame: WN=2046, TOW=451680, time 29.03.2019 05:28:00
|N1->55826.663458 043 0R GpsL1CA № 26 NavMsgGpsL1CANewFrame: WN=2046, TOW=451680, time 29.03.2019 05:28:00
|N1->55826.675641 021 0R GpsL2C № 10 SgnTimeCorrDone: tchan=451699366 dEpoch=0->0 dSec=451699->451699 dWeek=2046->2046
|N1->55826.676415 021 0R GpsL2C № 10 NonCoherentStart: 0.067262 s, -759 Hz, 31 dBHz
|N1->55826.763544 014 0R GpsL1CA № 8 NavMsgGpsL1CANewFrame: WN=2046, TOW=451680, time 29.03.2019 05:28:00
|N1->55826.800187 012 0R GpsL5 № 6 NonKoherentLoss: f: -2856 Hz q: -inf dBHz
|N1->55826.800187 012 0R GpsL5 № 6 SignalStop: too low SNR
|N1->55826.800740 003 0R GpsL5 № 1 NonCoherentStart: 0.067854 s, -2221 Hz, 35 dBHz
|N1->55826.800759 012 0R GpsL5 № 6 SignalStop: a reason is not specified
|N1->55826.801607 003 0R GpsL5 № 1 SgnTimeCorrDone: tchan=451699493 dEpoch=0->0 dSec=451699->451699 dWeek=2046->2046
|N1->55826.809735 019 0R GpsL5 № 9 NonKoherentLoss: f: -573 Hz q: 14 dBHz
|N1->55826.809735 019 0R GpsL5 № 9 SignalStop: too low SNR
|N1->55826.810178 019 0R GpsL5 № 9 SignalStop: a reason is not specified
|N1->55826.849973 016 0R GpsL5 № 8 NonCoherentStart: 0.067589 s, -1474 Hz, 28 dBHz
|N1->55826.850839 016 0R GpsL5 № 8 SgnTimeCorrDone: tchan=451699543 dEpoch=0->0 dSec=451699->451699 dWeek=2046->2046
|N1->55826.863336 004 0R GpsL1CA № 2 NavMsgGpsL1CANewFrame: WN=2046, TOW=451680, time 29.03.2019 05:28:00
|N1->55826.863428 034 0R GpsL1CA № 21 NavMsgGpsL1CANewFrame: WN=2046, TOW=451680, time 29.03.2019 05:28:00
|N1->55826.963552 037 0R GpsL1CA № 24 NavMsgGpsL1CANewFrame: WN=2046, TOW=451680, time 29.03.2019 05:28:00
|N1->55827.065740 168 0R SbsL1SD № 1 FrameSyncChunk: SBAS string 34 parity: FAIL
|N1->55827.067896 169 0R SbsL1SD № 2 FrameSyncChunk: SBAS string 34 parity: FAIL
|N1->55827.168739 IRQCtrl: maxIRQ= 535us <IRQ>= 349us maxPer= 627us <Per>= 600us OverTime= 0 Nch=60.0 irqs=1666
|N1->55827.238744 RcvTimeRegs: t=106100.00000/106100.00000 s (WN=2569/2569, TOW=106100/106100\106099, epoch= 0/0.0000\962, chip= 0\ 37765, ph=0) uncert 5995849 m
|N1->55827.263756 DebugR: 1313134.000000 1000.000000 52.000000
|N1->55827.330481 012 0R GpsL5 № 6 TrgRangeDopp from GpsL1CA: +0.08288025 s +- 50.0 m at -2470 Hz +- 1.0 m/s, snr: 46 dBHz
|N1->55827.330499 015 0R GpsL2C № 8 TrgRangeDopp from GpsL1CA: +0.06758898 s +- 50.0 m at -1539 Hz +- 1.0 m/s, snr: 38 dBHz
|N1->55827.330518 019 0R GpsL5 № 9 TrgRangeDopp from GpsL1CA: +0.06745014 s +- 50.0 m at -728 Hz +- 1.0 m/s, snr: 56 dBHz
|N1->55827.330720 012 0R GpsL5 № 6 TargetInit: tau = 82.8803 ms, f = -2470 Hz, sigma range = 5.000000e+01 m, sigma vel = 1.000000e+00 m/s, T= 1.0 ms, NN=40
|N1->55827.330720 012 0R GpsL5 № 6 StartTracking: freq: -2470 Hz, snr: 30 dBHz corr 16
|N1->55827.330739 015 0R GpsL2C № 8 TargetInit: tau = 67.5890 ms, f = -1539 Hz, sigma range = 5.000000e+01 m, sigma vel = 1.000000e+00 m/s, T= 2.0 ms, NN=40
|N1->55827.330739 015 0R GpsL2C № 8 StartTracking: freq: -1539 Hz, snr: 30 dBHz corr 33
|N1->55827.330776 019 0R GpsL5 № 9 TargetInit: tau = 67.4501 ms, f = -728 Hz, sigma range = 5.000000e+01 m, sigma vel = 1.000000e+00 m/s, T= 1.0 ms, NN=40
|N1->55827.330776 019 0R GpsL5 № 9 StartTracking: freq: -728 Hz, snr: 30 dBHz corr 38
|N1->55827.330978 012 0R GpsL5 № 6 SgnTimeCorrReq: dEpoch=0 dSec=451696 dWeek=2046, not final from aiming
|N1->55827.330997 015 0R GpsL2C № 8 SgnTimeCorrReq: dEpoch=0 dSec=451696 dWeek=2046, not final from aiming
|N1->55827.331015 019 0R GpsL5 № 9 SgnTimeCorrReq: dEpoch=0 dSec=451693 dWeek=2046, not final from aiming
|N1->55827.331439 012 0R GpsL5 № 6 SgnTimeCorrDone: tchan=4008 dEpoch=0->0 dSec=0->451696 dWeek=0->2046
|N1->55827.331458 015 0R GpsL2C № 8 SgnTimeCorrDone: tchan=4046 dEpoch=0->0 dSec=0->451696 dWeek=0->2046
|N1->55827.331476 019 0R GpsL5 № 9 SgnTimeCorrDone: tchan=7011 dEpoch=0->0 dSec=0->451693 dWeek=0->2046
|N1->55827.331605 012 0R GpsL5 № 6 SgnTimeCorrReq: dEpoch=0 dSec=4 dWeek=0, not final from aiming
|N1->55827.331605 015 0R GpsL2C № 8 SgnTimeCorrReq: dEpoch=0 dSec=4 dWeek=0, not final from aiming
|N1->55827.331624 019 0R GpsL5 № 9 SgnTimeCorrReq: dEpoch=0 dSec=7 dWeek=0, not final from aiming
|N1->55827.332637 012 0R GpsL5 № 6 SgnTimeCorrDone: tchan=451696000 dEpoch=0->0 dSec=451696->451700 dWeek=2046->2046
|N1->55827.332656 015 0R GpsL2C № 8 SgnTimeCorrDone: tchan=451695998 dEpoch=0->0 dSec=451696->451700 dWeek=2046->2046
|N1->55827.332674 019 0R GpsL5 № 9 SgnTimeCorrDone: tchan=451693000 dEpoch=0->0 dSec=451693->451700 dWeek=2046->2046
|N1->55826.330278 003 0R GpsL5 № 1 TrgRangeDopp from GpsL1CA: +0.06785224 s +- 50.0 m at -2221 Hz +- 1.0 m/s, snr: 37 dBHz
|N1->55826.330315 016 0R GpsL5 № 8 TrgRangeDopp from GpsL1CA: +0.06758834 s +- 50.0 m at -1474 Hz +- 1.0 m/s, snr: 37 dBHz
|N1->55826.330333 021 0R GpsL2C № 10 TrgRangeDopp from GpsL1CA: +0.06726191 s +- 50.0 m at -759 Hz +- 1.0 m/s, snr: 34 dBHz
|N1->55826.330518 003 0R GpsL5 № 1 TargetInit: tau = 67.8522 ms, f = -2221 Hz, sigma range = 5.000000e+01 m, sigma vel = 1.000000e+00 m/s, T= 1.0 ms, NN=40
|N1->55826.330536 003 0R GpsL5 № 1 StartTracking: freq: -2221 Hz, snr: 30 dBHz corr 6
|N1->55826.330554 016 0R GpsL5 № 8 TargetInit: tau = 67.5883 ms, f = -1474 Hz, sigma range = 5.000000e+01 m, sigma vel = 1.000000e+00 m/s, T= 1.0 ms, NN=40
|N1->55826.330554 016 0R GpsL5 № 8 StartTracking: freq: -1474 Hz, snr: 30 dBHz corr 15
|N1->55826.330591 021 0R GpsL2C № 10 TargetInit: tau = 67.2619 ms, f = -759 Hz, sigma range = 5.000000e+01 m, sigma vel = 1.000000e+00 m/s, T= 2.0 ms, NN=40
|N1->55826.330591 021 0R GpsL2C № 10 StartTracking: freq: -759 Hz, snr: 30 dBHz corr 42
|N1->55826.330776 003 0R GpsL5 № 1 SgnTimeCorrReq: dEpoch=0 dSec=451695 dWeek=2046, not final from aiming
|N1->55826.330794 016 0R GpsL5 № 8 SgnTimeCorrReq: dEpoch=0 dSec=451699 dWeek=2046, not final from aiming
|N1->55826.330794 021 0R GpsL2C № 10 SgnTimeCorrReq: dEpoch=0 dSec=451699 dWeek=2046, not final from aiming
|N1->55826.331826 003 0R GpsL5 № 1 SgnTimeCorrDone: tchan=4023 dEpoch=0->0 dSec=0->451695 dWeek=0->2046
|N1->55826.331863 016 0R GpsL5 № 8 SgnTimeCorrDone: tchan=604799999 dEpoch=0->0 dSec=0->451699 dWeek=0->2046
|N1->55826.331882 021 0R GpsL2C № 10 SgnTimeCorrDone: tchan=604799998 dEpoch=0->0 dSec=0->451699 dWeek=0->2046
|N1->55826.332011 003 0R GpsL5 № 1 SgnTimeCorrReq: dEpoch=0 dSec=4 dWeek=0, not final from aiming
|N1->55826.332416 003 0R GpsL5 № 1 SgnTimeCorrDone: tchan=451695000 dEpoch=0->0 dSec=451695->451699 dWeek=2046->2046
|N1->55826.363382 001 0R GpsL1CA № 1 NavMsgGpsL1CANewFrame: WN=2046, TOW=451680, time 29.03.2019 05:28:00
|N1->55826.363456 009 0R GpsL1CA № 5 NavMsgGpsL1CANewFrame: WN=2046, TOW=451680, time 29.03.2019 05:28:00
|N1->55826.363530 020 0R GpsL1CA № 10 NavMsgGpsL1CANewFrame: WN=2046, TOW=451680, time 29.03.2019 05:28:00
|N1->55826.363585 028 0R GpsL1CA № 15 NavMsgGpsL1CANewFrame: WN=2046, TOW=451680, time 29.03.2019 05:28:00
|N1->55826.363640 031 0R GpsL1CA № 18 NavMsgGpsL1CANewFrame: WN=2046, TOW=451680, time 29.03.2019 05:28:00
|N1->55826.363677 032 0R GpsL1CA № 19 NavMsgGpsL1CANewFrame: WN=2046, TOW=451680, time 29.03.2019 05:28:00
|N1->55826.363714 046 0R GpsL1CA № 27 NavMsgGpsL1CANewFrame: WN=2046, TOW=451680, time 29.03.2019 05:28:00
|N1->55826.563389 017 0R GpsL1CA № 9 NavMsgGpsL1CANewFrame: WN=2046, TOW=451680, time 29.03.2019 05:28:00
|N1->55826.563445 029 0R GpsL1CA № 16 NavMsgGpsL1CANewFrame: WN=2046, TOW=451680, time 29.03.2019 05:28:00
|N1->55826.563482 030 0R GpsL1CA № 17 NavMsgGpsL1CANewFrame: WN=2046, TOW=451680, time 29.03.2019 05:28:00
|N1->55826.563537 036 0R GpsL1CA № 23 NavMsgGpsL1CANewFrame: WN=2046, TOW=451680, time 29.03.2019 05:28:00
|N1->55826.563574 040 0R GpsL1CA № 25 NavMsgGpsL1CANewFrame: WN=2046, TOW=451680, time 29.03.2019 05:28:00
|N1->55827.624363 015 0R GpsL2C № 8 NonCoherentStart: 0.067589 s, -1539 Hz, 28 dBHz
|N1->55827.624861 015 0R GpsL2C № 8 SgnTimeCorrDone: tchan=451700316 dEpoch=0->0 dSec=451700->451700 dWeek=2046->2046
|N1->55827.670775 025 0R GpsL2C № 12 NonKoherentLoss: f: -2201 Hz q: 9 dBHz
|N1->55827.670794 025 0R GpsL2C № 12 SignalStop: too low SNR
|N1->55827.672360 025 0R GpsL2C № 12 SignalStop: a reason is not specified
|N1->55827.698976 002 0R GpsL2C № 1 NonKoherentLoss: f: -138 Hz q: 9 dBHz
|N1->55827.698976 002 0R GpsL2C № 1 SignalStop: too low SNR
|N1->55827.700728 002 0R GpsL2C № 1 SignalStop: a reason is not specified
|N1->55827.703179 038 0R GpsL2C № 24 NonKoherentLoss: f: -4929 Hz q: 9 dBHz
|N1->55827.703197 038 0R GpsL2C № 24 SignalStop: too low SNR
|N1->55827.704985 038 0R GpsL2C № 24 SignalStop: a reason is not specified
|N1->55827.800925 012 0R GpsL5 № 6 NonCoherentStart: 0.082882 s, -2470 Hz, 33 dBHz
|N1->55827.801828 012 0R GpsL5 № 6 SgnTimeCorrDone: tchan=451700478 dEpoch=0->0 dSec=451700->451700 dWeek=2046->2046
|N1->55827.820444 019 0R GpsL5 № 9 SgnTimeCorrDone: tchan=451700512 dEpoch=0->0 dSec=451700->451700 dWeek=2046->2046
|N1->55827.820795 019 0R GpsL5 № 9 NonCoherentStart: 0.067450 s, -728 Hz, 32 dBHz
|N1->55827.832167 022 0R GpsL5 № 10 NonKoherentLoss: f: -891 Hz q: 15 dBHz
|N1->55827.832186 022 0R GpsL5 № 10 SignalStop: too low SNR
|N1->55827.833144 022 0R GpsL5 № 10 SignalStop: a reason is not specified
|N1->55828.065518 168 0R SbsL1SD № 1 FrameSyncChunk: SBAS string 25 parity: OK
|N1->55828.067712 169 0R SbsL1SD № 2 FrameSyncChunk: SBAS string 25 parity: OK
|N1->55828.108170 034 0R GpsL1CA № 21 SymSyncErr: rep = 5, sync = 6 <- 5 <- 5, errcntr = 3
|N1->55828.168886 IRQCtrl: maxIRQ= 535us <IRQ>= 346us maxPer= 645us <Per>= 600us OverTime= 0 Nch=60.0 irqs=1667
|N1->55828.238947 RcvTimeRegs: t=106101.00000/106101.00000 s (WN=2569/2569, TOW=106101/106101\106100, epoch= 0/0.0000\962, chip= 0\ 37765, ph=0) uncert 5995849 m
|N1->55828.263959 DebugR: 1313134.000000 1000.000000 52.000000
Переставленные местами пакеты
Опять все выглядит так, будто проблема на уровне Protocol-Pipe-Сеть-Pipe-Protocol.
|N1->55403.326850 DebugR: 1313134.000000 1000.000000 52.000000
|N1->55403.326997 012 0R GpsL5 № 6 SgnTimeCorrReq: dEpoch=0 dSec=451276 dWeek=2046, not final from aiming
|N1->55403.327016 019 0R GpsL5 № 9 SgnTimeCorrReq: dEpoch=0 dSec=451276 dWeek=2046, not final from aiming
|N1->55403.327034 039 0R GpsL5 № 24 SgnTimeCorrReq: dEpoch=0 dSec=451276 dWeek=2046, not final from aiming
|N1->55403.327532 012 0R GpsL5 № 6 SgnTimeCorrDone: tchan=604799999 dEpoch=0->0 dSec=0->451276 dWeek=0->2046
|N1->55403.327568 019 0R GpsL5 № 9 SgnTimeCorrDone: tchan=604799999 dEpoch=0->0 dSec=0->451276 dWeek=0->2046
|N1->55403.327624 039 0R GpsL5 № 24 SgnTimeCorrDone: tchan=604799999 dEpoch=0->0 dSec=0->451276 dWeek=0->2046
|N1->55403.796372 019 0R GpsL5 № 9 NonCoherentStart: 0.067217 s, -569 Hz, 32 dBHz
|N1->55403.796630 019 0R GpsL5 № 9 SgnTimeCorrDone: tchan=451276492 dEpoch=0->0 dSec=451276->451276 dWeek=2046->2046
|N1->55403.807634 039 0R GpsL5 № 24 NonCoherentStart: 0.067577 s, -1315 Hz, 32 dBHz
|N1->55403.808095 039 0R GpsL5 № 24 SgnTimeCorrDone: tchan=451276503 dEpoch=0->0 dSec=451276->451276 dWeek=2046->2046
|N1->55403.838379 012 0R GpsL5 № 6 NonCoherentStart: 0.082000 s, -2422 Hz, 27 dBHz
|N1->55403.838619 012 0R GpsL5 № 6 SgnTimeCorrDone: tchan=451276519 dEpoch=0->0 dSec=451276->451276 dWeek=2046->2046
|N1->55404.128833 168 0R SbsL1SD № 1 FrameSyncChunk: SBAS string 0 parity: OK
|N1->55404.131008 169 0R SbsL1SD № 2 FrameSyncChunk: SBAS string 0 parity: OK
|N1->55404.169089 IRQCtrl: maxIRQ= 627us <IRQ>= 355us maxPer= 645us <Per>= 600us OverTime= 0 Nch=60.0 irqs=1667
|N1->55404.236108 RcvTimeRegs: t=105677.00000/105677.00000 s (WN=2569/2569, TOW=105677/105677\105676, epoch= 0/0.0000\962, chip= 0\ 37765, ph=0) uncert 5995849 m
|N1->55404.326813 DebugR: 1313134.000000 1000.000000 52.000000
|N1->55404.504978 055 0R GpsL1CA № 31 TrgRangeDopp from facq: +0.10102687 s +- 129.3 m at -0 Hz +- 63.4 m/s, snr: 39 dBHz
|N1->55404.665190 021 0R GpsL2C № 10 NonKoherentLoss: f: -2940 Hz q: -inf dBHz
|N1->55404.665209 021 0R GpsL2C № 10 SignalStop: too low SNR
|N1->55404.666978 021 0R GpsL2C № 10 SignalStop: a reason is not specified
|N1->55404.839190 022 0R GpsL5 № 10 NonKoherentLoss: f: -1072 Hz q: 9 dBHz
|N1->55404.839190 022 0R GpsL5 № 10 SignalStop: too low SNR
|N1->55404.840351 022 0R GpsL5 № 10 SignalStop: a reason is not specified
|N1->55406.327016 025 0R GpsL2C № 12 SgnTimeCorrReq: dEpoch=0 dSec=451279 dWeek=2046, not final from aiming
|N1->55406.327034 038 0R GpsL2C № 24 SgnTimeCorrReq: dEpoch=0 dSec=451279 dWeek=2046, not final from aiming
|N1->55406.327034 042 0R GpsL5 № 25 SgnTimeCorrReq: dEpoch=0 dSec=451279 dWeek=2046, not final from aiming
|N1->55406.327181 DebugR: 1313134.000000 1000.000000 52.000000
|N1->55406.328011 003 0R GpsL5 № 1 SgnTimeCorrDone: tchan=0 dEpoch=0->0 dSec=0->451279 dWeek=0->2046
|N1->55406.328066 016 0R GpsL5 № 8 SgnTimeCorrDone: tchan=0 dEpoch=0->0 dSec=0->451279 dWeek=0->2046
|N1->55406.328085 025 0R GpsL2C № 12 SgnTimeCorrDone: tchan=604799998 dEpoch=0->0 dSec=0->451279 dWeek=0->2046
|N1->55406.328140 038 0R GpsL2C № 24 SgnTimeCorrDone: tchan=604799998 dEpoch=0->0 dSec=0->451279 dWeek=0->2046
|N1->55406.328158 042 0R GpsL5 № 25 SgnTimeCorrDone: tchan=0 dEpoch=0->0 dSec=0->451279 dWeek=0->2046
|N1->55405.128796 168 0R SbsL1SD № 1 FrameSyncChunk: SBAS string 3 parity: OK
|N1->55405.130971 169 0R SbsL1SD № 2 FrameSyncChunk: SBAS string 3 parity: OK
|N1->55405.169292 IRQCtrl: maxIRQ= 498us <IRQ>= 352us maxPer= 627us <Per>= 600us OverTime= 0 Nch=60.0 irqs=1667
|N1->55405.236311 RcvTimeRegs: t=105678.00000/105678.00000 s (WN=2569/2569, TOW=105678/105678\105677, epoch= 0/0.0000\962, chip= 0\ 37765, ph=0) uncert 5995849 m
|N1->55405.325320 021 0R GpsL2C № 10 TrgRangeDopp from GpsL1CA: +0.06702986 s +- 50.0 m at -594 Hz +- 1.0 m/s, snr: 35 dBHz
|N1->55405.325320 022 0R GpsL5 № 10 TrgRangeDopp from GpsL1CA: +0.06702986 s +- 50.0 m at -569 Hz +- 1.0 m/s, snr: 35 dBHz
|N1->55405.325523 021 0R GpsL2C № 10 TargetInit: tau = 67.0299 ms, f = -594 Hz, sigma range = 5.000000e+01 m, sigma vel = 1.000000e+00 m/s, T= 2.0 ms, NN=40
|N1->55405.325523 021 0R GpsL2C № 10 StartTracking: freq: -594 Hz, snr: 30 dBHz corr 16
|N1->55405.325541 022 0R GpsL5 № 10 TargetInit: tau = 67.0299 ms, f = -569 Hz, sigma range = 5.000000e+01 m, sigma vel = 1.000000e+00 m/s, T= 1.0 ms, NN=40
|N1->55405.325541 022 0R GpsL5 № 10 StartTracking: freq: -569 Hz, snr: 30 dBHz corr 33
|N1->55405.326186 021 0R GpsL2C № 10 SgnTimeCorrReq: dEpoch=0 dSec=451271 dWeek=2046, not final from aiming
|N1->55405.326205 022 0R GpsL5 № 10 SgnTimeCorrReq: dEpoch=0 dSec=451274 dWeek=2046, not final from aiming
|N1->55405.326647 021 0R GpsL2C № 10 SgnTimeCorrDone: tchan=7020 dEpoch=0->0 dSec=0->451271 dWeek=0->2046
|N1->55405.326665 022 0R GpsL5 № 10 SgnTimeCorrDone: tchan=4021 dEpoch=0->0 dSec=0->451274 dWeek=0->2046
|N1->55405.326794 021 0R GpsL2C № 10 SgnTimeCorrReq: dEpoch=0 dSec=7 dWeek=0, not final from aiming
|N1->55405.326794 022 0R GpsL5 № 10 SgnTimeCorrReq: dEpoch=0 dSec=4 dWeek=0, not final from aiming
|N1->55405.327126 DebugR: 1313134.000000 1000.000000 52.000000
|N1->55405.327882 021 0R GpsL2C № 10 SgnTimeCorrDone: tchan=7020 dEpoch=0->0 dSec=451271->451278 dWeek=2046->2046
|N1->55405.327882 022 0R GpsL5 № 10 SgnTimeCorrDone: tchan=451274000 dEpoch=0->0 dSec=451274->451278 dWeek=2046->2046
|N1->55405.607608 025 0R GpsL2C № 12 NonKoherentLoss: f: -611 Hz q: -inf dBHz
|N1->55405.607627 025 0R GpsL2C № 12 SignalStop: too low SNR
|N1->55405.609415 025 0R GpsL2C № 12 SignalStop: a reason is not specified
|N1->55405.609452 038 0R GpsL2C № 24 NonKoherentLoss: f: -1707 Hz q: -inf dBHz
|N1->55405.609452 038 0R GpsL2C № 24 SignalStop: too low SNR
|N1->55405.612198 038 0R GpsL2C № 24 SignalStop: a reason is not specified
|N1->55405.612861 021 0R GpsL2C № 10 SgnTimeCorrDone: tchan=451278306 dEpoch=0->0 dSec=451278->451278 dWeek=2046->2046
|N1->55405.613230 021 0R GpsL2C № 10 NonCoherentStart: 0.067030 s, -594 Hz, 27 dBHz
|N1->55405.800353 022 0R GpsL5 № 10 NonCoherentStart: 0.067031 s, -569 Hz, 32 dBHz
|N1->55405.800630 022 0R GpsL5 № 10 SgnTimeCorrDone: tchan=451278496 dEpoch=0->0 dSec=451278->451278 dWeek=2046->2046
|N1->55405.805570 003 0R GpsL5 № 1 NonKoherentLoss: f: -2005 Hz q: -inf dBHz
|N1->55405.805570 003 0R GpsL5 № 1 SignalStop: too low SNR
|N1->55405.806915 003 0R GpsL5 № 1 SignalStop: a reason is not specified
|N1->55405.813440 042 0R GpsL5 № 25 NonKoherentLoss: f: -116 Hz q: 12 dBHz
|N1->55405.813440 042 0R GpsL5 № 25 SignalStop: too low SNR
|N1->55405.814583 042 0R GpsL5 № 25 SignalStop: a reason is not specified
|N1->55405.817569 016 0R GpsL5 № 8 NonKoherentLoss: f: -1630 Hz q: 15 dBHz
|N1->55405.817587 016 0R GpsL5 № 8 SignalStop: too low SNR
|N1->55405.818362 016 0R GpsL5 № 8 SignalStop: a reason is not specified
|N1->55406.026553 008 0R GpsL1CA № 4 NavMsgGpsL1CANewFrame: WN=2046, TOW=451260, time 29.03.2019 05:21:00
|N1->55406.026608 013 0R GpsL1CA № 7 NavMsgGpsL1CANewFrame: WN=2046, TOW=451260, time 29.03.2019 05:21:00
|N1->55406.026682 026 0R GpsL1CA № 13 NavMsgGpsL1CANewFrame: WN=2046, TOW=451260, time 29.03.2019 05:21:00
|N1->55406.126363 010 0R GpsL1CA № 6 NavMsgGpsL1CANewFrame: WN=2046, TOW=451260, time 29.03.2019 05:21:00
|N1->55406.126437 023 0R GpsL1CA № 11 NavMsgGpsL1CANewFrame: WN=2046, TOW=451260, time 29.03.2019 05:21:00
|N1->55406.126492 033 0R GpsL1CA № 20 NavMsgGpsL1CANewFrame: WN=2046, TOW=451260, time 29.03.2019 05:21:00
|N1->55406.126529 035 0R GpsL1CA № 22 NavMsgGpsL1CANewFrame: WN=2046, TOW=451260, time 29.03.2019 05:21:00
|N1->55406.128815 168 0R SbsL1SD № 1 FrameSyncChunk: SBAS string 4 parity: OK
|N1->55406.131008 169 0R SbsL1SD № 2 FrameSyncChunk: SBAS string 4 parity: OK
|N1->55406.168904 IRQCtrl: maxIRQ= 516us <IRQ>= 346us maxPer= 645us <Per>= 600us OverTime= 0 Nch=60.0 irqs=1666
|N1->55406.226560 027 0R GpsL1CA № 14 NavMsgGpsL1CANewFrame: WN=2046, TOW=451260, time 29.03.2019 05:21:00
|N1->55406.226652 052 0R GpsL1CA № 30 NavMsgGpsL1CANewFrame: WN=2046, TOW=451260, time 29.03.2019 05:21:00
|N1->55406.235887 RcvTimeRegs: t=105679.00000/105679.00000 s (WN=2569/2569, TOW=105679/105679\105678, epoch= 0/0.0000\962, chip= 0\ 37765, ph=0) uncert 5995849 m
|N1->55406.325596 003 0R GpsL5 № 1 TrgRangeDopp from GpsL1CA: +0.06762069 s +- 50.0 m at -2063 Hz +- 1.0 m/s, snr: 39 dBHz
|N1->55406.325615 016 0R GpsL5 № 8 TrgRangeDopp from GpsL1CA: +0.06735678 s +- 50.0 m at -1316 Hz +- 1.0 m/s, snr: 38 dBHz
|N1->55406.325633 025 0R GpsL2C № 12 TrgRangeDopp from GpsL1CA: +0.06729371 s +- 50.0 m at -594 Hz +- 1.0 m/s, snr: 36 dBHz
|N1->55406.325652 038 0R GpsL2C № 24 TrgRangeDopp from GpsL1CA: +0.06757770 s +- 50.0 m at -1374 Hz +- 1.0 m/s, snr: 38 dBHz
|N1->55406.325670 042 0R GpsL5 № 25 TrgRangeDopp from GpsL1CA: +0.06727300 s +- 50.0 m at -570 Hz +- 1.0 m/s, snr: 36 dBHz
|N1->55406.325817 003 0R GpsL5 № 1 TargetInit: tau = 67.6207 ms, f = -2063 Hz, sigma range = 5.000000e+01 m, sigma vel = 1.000000e+00 m/s, T= 1.0 ms, NN=40
|N1->55406.325836 003 0R GpsL5 № 1 StartTracking: freq: -2063 Hz, snr: 30 dBHz corr 6
|N1->55406.325854 016 0R GpsL5 № 8 TargetInit: tau = 67.3568 ms, f = -1316 Hz, sigma range = 5.000000e+01 m, sigma vel = 1.000000e+00 m/s, T= 1.0 ms, NN=40
|N1->55406.325854 016 0R GpsL5 № 8 StartTracking: freq: -1316 Hz, snr: 30 dBHz corr 12
|N1->55406.325873 025 0R GpsL2C № 12 TargetInit: tau = 67.2937 ms, f = -594 Hz, sigma range = 5.000000e+01 m, sigma vel = 1.000000e+00 m/s, T= 2.0 ms, NN=40
|N1->55406.325891 025 0R GpsL2C № 12 StartTracking: freq: -594 Hz, snr: 30 dBHz corr 38
|N1->55406.325910 038 0R GpsL2C № 24 TargetInit: tau = 67.5777 ms, f = -1374 Hz, sigma range = 5.000000e+01 m, sigma vel = 1.000000e+00 m/s, T= 2.0 ms, NN=40
|N1->55406.325910 038 0R GpsL2C № 24 StartTracking: freq: -1374 Hz, snr: 30 dBHz corr 42
|N1->55406.325946 042 0R GpsL5 № 25 TargetInit: tau = 67.2730 ms, f = -570 Hz, sigma range = 5.000000e+01 m, sigma vel = 1.000000e+00 m/s, T= 1.0 ms, NN=40
|N1->55406.325946 042 0R GpsL5 № 25 StartTracking: freq: -570 Hz, snr: 30 dBHz corr 53
|N1->55406.326463 001 0R GpsL1CA № 1 NavMsgGpsL1CANewFrame: WN=2046, TOW=451260, time 29.03.2019 05:21:00
|N1->55406.326518 009 0R GpsL1CA № 5 NavMsgGpsL1CANewFrame: WN=2046, TOW=451260, time 29.03.2019 05:21:00
|N1->55406.326573 020 0R GpsL1CA № 10 NavMsgGpsL1CANewFrame: WN=2046, TOW=451260, time 29.03.2019 05:21:00
|N1->55406.326610 028 0R GpsL1CA № 15 NavMsgGpsL1CANewFrame: WN=2046, TOW=451260, time 29.03.2019 05:21:00
|N1->55406.326684 031 0R GpsL1CA № 18 NavMsgGpsL1CANewFrame: WN=2046, TOW=451260, time 29.03.2019 05:21:00
|N1->55406.326739 046 0R GpsL1CA № 27 NavMsgGpsL1CANewFrame: WN=2046, TOW=451260, time 29.03.2019 05:21:00
|N1->55406.326997 003 0R GpsL5 № 1 SgnTimeCorrReq: dEpoch=0 dSec=451279 dWeek=2046, not final from aiming
|N1->55406.327016 016 0R GpsL5 № 8 SgnTimeCorrReq: dEpoch=0 dSec=451279 dWeek=2046, not final from aiming
|N1->55406.426383 032 0R GpsL1CA № 19 NavMsgGpsL1CANewFrame: WN=2046, TOW=451260, time 29.03.2019 05:21:00
|N1->55406.526581 030 0R GpsL1CA № 17 NavMsgGpsL1CANewFrame: WN=2046, TOW=451260, time 29.03.2019 05:21:00
|N1->55406.526654 036 0R GpsL1CA № 23 NavMsgGpsL1CANewFrame: WN=2046, TOW=451260, time 29.03.2019 05:21:00
|N1->55406.526691 040 0R GpsL1CA № 25 NavMsgGpsL1CANewFrame: WN=2046, TOW=451260, time 29.03.2019 05:21:00
|N1->55406.610650 025 0R GpsL2C № 12 SgnTimeCorrDone: tchan=451279304 dEpoch=0->0 dSec=451279->451279 dWeek=2046->2046
|N1->55406.611405 025 0R GpsL2C № 12 NonCoherentStart: 0.067294 s, -594 Hz, 30 dBHz
|N1->55406.616677 038 0R GpsL2C № 24 SgnTimeCorrDone: tchan=451279310 dEpoch=0->0 dSec=451279->451279 dWeek=2046->2046
|N1->55406.617451 038 0R GpsL2C № 24 NonCoherentStart: 0.067578 s, -1374 Hz, 30 dBHz
|N1->55406.626557 017 0R GpsL1CA № 9 NavMsgGpsL1CANewFrame: WN=2046, TOW=451260, time 29.03.2019 05:21:00
|N1->55406.626612 024 0R GpsL1CA № 12 NavMsgGpsL1CANewFrame: WN=2046, TOW=451260, time 29.03.2019 05:21:00
|N1->55406.626667 029 0R GpsL1CA № 16 NavMsgGpsL1CANewFrame: WN=2046, TOW=451260, time 29.03.2019 05:21:00
|N1->55406.626722 043 0R GpsL1CA № 26 NavMsgGpsL1CANewFrame: WN=2046, TOW=451260, time 29.03.2019 05:21:00
|N1->55406.643404 015 0R GpsL2C № 8 NonKoherentLoss: f: -551 Hz q: -inf dBHz
|N1->55406.643404 015 0R GpsL2C № 8 SignalStop: too low SNR
|N1->55406.645615 015 0R GpsL2C № 8 SignalStop: a reason is not specified
|N1->55406.726367 014 0R GpsL1CA № 8 NavMsgGpsL1CANewFrame: WN=2046, TOW=451260, time 29.03.2019 05:21:00
|N1->55406.796390 016 0R GpsL5 № 8 NonCoherentStart: 0.067358 s, -1316 Hz, 31 dBHz
|N1->55406.796390 019 0R GpsL5 № 9 NonKoherentLoss: f: -126 Hz q: 9 dBHz
|N1->55406.796390 019 0R GpsL5 № 9 SignalStop: too low SNR
|N1->55406.796630 016 0R GpsL5 № 8 SgnTimeCorrDone: tchan=451279492 dEpoch=0->0 dSec=451279->451279 dWeek=2046->2046
|N1->55406.797238 019 0R GpsL5 № 9 SignalStop: a reason is not specified
|N1->55406.803468 042 0R GpsL5 № 25 NonCoherentStart: 0.067274 s, -570 Hz, 31 dBHz
|N1->55406.803874 042 0R GpsL5 № 25 SgnTimeCorrDone: tchan=451279499 dEpoch=0->0 dSec=451279->451279 dWeek=2046->2046
|N1->55406.807634 039 0R GpsL5 № 24 NonKoherentLoss: f: -1093 Hz q: 9 dBHz
|N1->55406.807653 039 0R GpsL5 № 24 SignalStop: too low SNR
|N1->55406.809035 039 0R GpsL5 № 24 SignalStop: a reason is not specified
|N1->55406.816113 003 0R GpsL5 № 1 NonCoherentStart: 0.067622 s, -2063 Hz, 33 dBHz
|N1->55406.817016 003 0R GpsL5 № 1 SgnTimeCorrDone: tchan=451279512 dEpoch=0->0 dSec=451279->451279 dWeek=2046->2046
|N1->55406.826582 034 0R GpsL1CA № 21 NavMsgGpsL1CANewFrame: WN=2046, TOW=451260, time 29.03.2019 05:21:00
|N1->55406.838379 012 0R GpsL5 № 6 NonKoherentLoss: f: -2395 Hz q: 9 dBHz
|N1->55406.838397 012 0R GpsL5 № 6 SignalStop: too low SNR
|N1->55406.838969 012 0R GpsL5 № 6 SignalStop: a reason is not specified
|N1->55406.926522 004 0R GpsL1CA № 2 NavMsgGpsL1CANewFrame: WN=2046, TOW=451260, time 29.03.2019 05:21:00
|N1->55406.926614 037 0R GpsL1CA № 24 NavMsgGpsL1CANewFrame: WN=2046, TOW=451260, time 29.03.2019 05:21:00
|N1->55407.128759 168 0R SbsL1SD № 1 FrameSyncChunk: SBAS string 5 parity: OK
|N1->55407.130953 169 0R SbsL1SD № 2 FrameSyncChunk: SBAS string 5 parity: OK
|N1->55407.169107 IRQCtrl: maxIRQ= 590us <IRQ>= 348us maxPer= 645us <Per>= 600us OverTime= 0 Nch=60.0 irqs=1667
|N1->55407.236090 RcvTimeRegs: t=105680.00000/105680.00000 s (WN=2569/2569, TOW=105680/105680\105679, epoch= 0/0.0000\962, chip= 0\ 37765, ph=0) uncert 5995849 m
|N1->55407.325652 012 0R GpsL5 № 6 TrgRangeDopp from GpsL1CA: +0.08200648 s +- 50.0 m at -2422 Hz +- 1.0 m/s, snr: 45 dBHz
Дальности и т.п.
Другая проблема - GPS L1C/A. Опять выглядит так, как будто действует имитационная помеха. Либо это внутрисистемные помехи почему-то начали так сильно влиять на нас.
2019.04.01 - Тест MCR1 за выходные
- номер ревизии PL: из bin соответствующей ревизии
- номер ревизии PS: 346f03e3a3a85cbfc17eee665bfcc2bf48bf5258
- экземпляр приемника: MCR1 плата 61;
- условия: антенна на крыше Е;
Приемник проработал выходные, не упал, в целом всё ок. Оператива держится на уровне 71Мб, как при старте. Оба ядра загружены примерно на 75%.
Код децимации 100 мс main всё ещё сбоит
В GPS опять ложняки по L1CA.
С временем F5 особых проблем нет, только пару раз выпадали на 5 секунд измерения с отдельного спутника (по флагу м.б.).
2019.04.02 - Новая шина HPP для зеркалирования каналов
- номер ревизии PL: из bin соответствующей ревизии
- номер ревизии PS: c938d6a9aab0addd1d2974ec135f1749bc22b72d
- экземпляр приемника: CLONICUS плата 112;
- условия: антенна на крыше Е;
Иван запилил DMA
Чтение 120 каналов на старой шине GPP:
Полная замена GPP на HPP заставляет нас два раза запускать DMA
Если совмещать GPP с HPP: DMA в основном, GPP для повторного чтения времени.
Раза в 3 выиграли по времени, но главное - прирост с увеличением числа каналов стал намного меньше. Думаю, порядка 20 мкс на 100 каналов
Немного изучил свойства clock_gettime(). На вызов функции уходит примерно 600 нс, дискрет значения - 18 мкс в случае Oryx на родном Debian.
Собрали прошивку под Oryx, на загрузке в 60 каналов по небу виден выигрыш первого маркера в 2 раза:
UPDATE: Время DMA на Клоникусе около 7 мкс на 40 каналов.
2019.04.05 - Ночной тест MCR1 с HPP и 70 каналами
- номер ревизии PL: собирался Иваном на ~100 каналов, md5sum 0ab4c9f04bdee4adf3301b5cb8e06b25
- номер ревизии PS: bb44a4c07d31896915b97947018bab17f6d229c2
- экземпляр приемника: MCR1 плата 61;
- условия: антенна на крыше Е;
Убрал дополнительное зеркалирование OCM в RAM, в итоге T1 упал до 30 мкс. В таком режиме число каналов поднял до 70. Приемник проработал ночь, всё ок.
Вывод: теперь мы тащим 70 каналов чуть лучше, чем раньше тащили 60.
Утечки памяти при этом нет, съедает около 71 Мб. Ядро с main загружено на 100%, в основном время исполнения там.
2019.04.08 - Как мы пережили ролловер GPS
- номер ревизии PL: собирался Иваном на ~100 каналов, md5sum 0ab4c9f04bdee4adf3301b5cb8e06b25
- номер ревизии PS: a4aea27ba6dc0ade3fe02227c8d955ab240d77b1
- экземпляр приемника: MCR1 плата 61;
- условия: антенна на крыше Е;
Приемник проработал выходные, всё ок. С 6 на 7 апреля случился ролловер GPS! Есть ощущение, что СДКМ его не пережил, слежение упало и больше мы данных не увидели:
|N1->115639.646381 169 0R SbsL1SD № 2 FrameSyncChunk: SBAS string 5 parity: OK
|N1->115640.646621 169 0R SbsL1SD № 2 FrameSyncChunk: SBAS string 25 parity: OK
|N1->115641.646049 169 0R SbsL1SD № 2 FrameSyncChunk: SBAS string 14 parity: FAIL
|N1->115642.646381 169 0R SbsL1SD № 2 FrameSyncChunk: SBAS string 24 parity: FAIL
|N1->115643.311966 169 0R SbsL1SD № 2 CoherentLoss: f: 60 Hz q: 27 dBHz
|N1->115643.321293 169 0R SbsL1SD № 2 NonCoherentStart: 1554479572.900374 s, 51 Hz, 27 dBHz
|N1->115646.391206 169 0R SbsL1SD № 2 CoherentStart: f: 261 Hz q: 31 dBHz
|N1->115646.644446 169 0R SbsL1SD № 2 FrameSyncChunk: SBAS string 2 parity: FAIL
|N1->115648.391317 169 0R SbsL1SD № 2 SymSyncErr: rep = 0, sync = 1 <- 1 <- 1, errcntr = 4
|N1->115648.591951 169 0R SbsL1SD № 2 FrameSyncErr: pream position = 0 symbs
|N1->115648.659320 169 0R SbsL1SD № 2 FrameSyncErr: pream position = 1 symbs
|N1->115649.399298 169 0R SbsL1SD № 2 SymSyncErr: rep = 0, sync = 1 <- 1 <- 1, errcntr = 6
|N1->115649.652353 169 0R SbsL1SD № 2 FrameSyncErr: pream position = 0 symbs
|N1->115652.390303 169 0R SbsL1SD № 2 SymSyncErr: rep = 0, sync = 1 <- 0 <- 0, errcntr = 6
|N1->115652.600559 169 0R SbsL1SD № 2 FrameSyncErr: pream position = 0 symbs
|N1->115653.390506 169 0R SbsL1SD № 2 SymSyncErr: rep = 0, sync = 1 <- 1 <- 1, errcntr = 8
|N1->115653.650012 169 0R SbsL1SD № 2 FrameSyncErr: pream position = 1 symbs
|N1->115656.600835 169 0R SbsL1SD № 2 FrameSyncErr: pream position = 0 symbs
|N1->115657.390321 169 0R SbsL1SD № 2 SymSyncErr: rep = 0, sync = 1 <- 0 <- 0, errcntr = 7
|N1->115657.649994 169 0R SbsL1SD № 2 FrameSyncErr: pream position = 0 symbs
|N1->115658.670490 169 0R SbsL1SD № 2 CoherentLoss: f: 278 Hz q: 25 dBHz
|N1->115658.680296 169 0R SbsL1SD № 2 NonCoherentStart: 1554479572.900373 s, 296 Hz, 25 dBHz
|N1->115665.840638 169 0R SbsL1SD № 2 NonKoherentLoss: f: 4237 Hz q: 9 dBHz
|N1->115665.840656 169 0R SbsL1SD № 2 SignalStop: too low SNR
|N1->115665.850351 169 0R SbsL1SD № 2 SignalStop: a reason is not specified
|N1->115684.608097 169 0R SbsL1SD № 2 TrgRangeDopp from facq: +0.88924617 s +- 129.3 m at -0 Hz +- 63.4 m/s, snr: 39 dBHz
|N1->115685.167513 169 0R SbsL1SD № 2 TargetInit: tau = 889.2462 ms, f = -0 Hz, sigma range = 1.292878e+02 m, sigma vel = 6.343122e+01 m/s, T= 1.0 ms, NN=40
|N1->115685.167513 169 0R SbsL1SD № 2 StartTracking: freq: -0 Hz, snr: 30 dBHz corr 67
|N1->115685.168269 169 0R SbsL1SD № 2 SgnTimeCorrReq: dEpoch=0 dSec=529251 dWeek=1213, not final from aiming
|N1->115685.168804 169 0R SbsL1SD № 2 SgnTimeCorrDone: tchan=4391 dEpoch=0->0 dSec=0->529251 dWeek=0->1213
|N1->115685.168859 169 0R SbsL1SD № 2 SgnTimeCorrReq: dEpoch=0 dSec=5 dWeek=0, not final from aiming
|N1->115685.170039 169 0R SbsL1SD № 2 SgnTimeCorrDone: tchan=529251001 dEpoch=0->0 dSec=529251->529256 dWeek=1213->1213
|N1->115686.340426 169 0R SbsL1SD № 2 NonCoherentStart: 0.889249 s, 1 Hz, 36 dBHz
|N1->115691.460345 169 0R SbsL1SD № 2 CoherentStart: f: 104 Hz q: 31 dBHz
|N1->115692.970400 169 0R SbsL1SD № 2 SymSyncDone
|N1->115694.650215 169 0R SbsL1SD № 2 FrameSyncErr: pream position = 1 symbs
|N1->115694.970197 169 0R SbsL1SD № 2 SymSyncErr: rep = 0, sync = 1 <- 1 <- 1, errcntr = 4
|N1->115695.970400 169 0R SbsL1SD № 2 SymSyncErr: rep = 0, sync = 1 <- 1 <- 1, errcntr = 6
|N1->115696.080219 169 0R SbsL1SD № 2 CoherentLoss: f: 98 Hz q: 23 dBHz
|N1->115696.090412 169 0R SbsL1SD № 2 NonCoherentStart: 0.889249 s, 97 Hz, 23 dBHz
|N1->115701.200599 169 0R SbsL1SD № 2 CoherentStart: f: 179 Hz q: 31 dBHz
|N1->115701.592080 169 0R SbsL1SD № 2 Debug: 23123213.000000 0.000000 4.000000 0.000000 0.000000
|N1->115701.592485 169 0R SbsL1SD № 2 Debug: 23123213.000000 0.000000 4.000000 0.000000 0.000000
|N1->115703.210608 169 0R SbsL1SD № 2 SymSyncErr: rep = 0, sync = 1 <- 0 <- 0, errcntr = 7
|N1->115703.250292 169 0R SbsL1SD № 2 CoherentLoss: f: 207 Hz q: 26 dBHz
|N1->115703.260504 169 0R SbsL1SD № 2 NonCoherentStart: 0.889248 s, 218 Hz, 26 dBHz
|N1->115706.330730 169 0R SbsL1SD № 2 CoherentStart: f: 216 Hz q: 30 dBHz
|N1->115706.591711 169 0R SbsL1SD № 2 Debug: 23123213.000000 0.000000 4.000000 0.000000 0.000000
|N1->115707.332776 169 0R SbsL1SD № 2 SymSyncErr: rep = 0, sync = 1 <- 1 <- 1, errcntr = 9
|N1->115709.650215 169 0R SbsL1SD № 2 FrameSyncErr: pream position = 0 symbs
|N1->115710.340481 169 0R SbsL1SD № 2 SymSyncErr: rep = 0, sync = 1 <- 0 <- 0, errcntr = 9
|N1->115710.410597 169 0R SbsL1SD № 2 CoherentLoss: f: 190 Hz q: 25 dBHz
|N1->115710.420403 169 0R SbsL1SD № 2 NonCoherentStart: 0.889247 s, 191 Hz, 25 dBHz
|N1->115725.772789 169 0R SbsL1SD № 2 NonKoherentLoss: f: -3227 Hz q: -inf dBHz
|N1->115725.772789 169 0R SbsL1SD № 2 SignalStop: too low SNR
|N1->115725.783129 169 0R SbsL1SD № 2 SignalStop: a reason is not specified
|N1->115727.072551 169 0R SbsL1SD № 2 TrgRangeDopp from facq: +0.35804310 s +- 129.3 m at -0 Hz +- 63.4 m/s, snr: 44 dBHz
RTKLIB живее всех живых, проверил и RTKPOST, и CONVBIN:
2019.04.08 Perf и Flamegraph
Профилирование модели с помощью perf. На русском почитать можно тут.
Запись лога:
Преобразование в формат flame graph'а:
Построение flame-диаграммы:
Открываем svg в браузере и наслаждаемся:
Видим, что в модели всё время уходит на формирование коррелированных шумов квадратур, надо убрать там QS Matrix:
В обработчике прерываний одеяло на себя перетягивают updMeas и updTracking, причем куча времени уходит на isTracking:
2019.04.10 - Первый ночной тест Клоникуса
- номер ревизии PL: 948f878ff5cba24bf1948d6b52569d8471e25b94 собирался мной на 40 каналов
- номер ревизии PS: f35f6003b512ec084eca3691b811a62dff111f3e (с небольшими изменениями)
- экземпляр приемника: CLONICUS плата 112;
- условия: антенна на крыше Е;
В F5 пропущена одна точка, примерно в середине лога. Причем пакет дошел, но в текстовый файл записался с ошибками - время 0, номер недели -5000, в первых трех сигналах мусор. Т.е. начало пакета поломано.
Если смотреть глазами ход 0x003, то время пакетов заметно подлагивает. Если запустить WireShark (ip.addr == 192.168.0.112 && tcp.port == 3490 && ip.len > 166 && data.data[6] == 0xF5), то тоже видны проблемы:
2019.04.12 - Проверка работы Dll
- номер ревизии PL: oryx.bit версия 5.5 (проект bin, коммит 2887efc0)
- номер ревизии PS: trcv скомпилен из коммита 22be8d57 ветки multiInputCorr (где пилится многовходовый коррелятор)
- экземпляр приемника: Oryx IP 60, наш MCR;
- условия: работа по имитатору SMBV;
Сценарий SMBV - Static, один спутник ГЛОНАСС №5, дальность руками забита на 19 000 км. Level = -110 дБм.
Исследуется появление переходного процесса в измерениях псевдодальности при "втягивании" Dll. Исследование проведено как на железке, так и на модели в той же версии PS. В модели выключены "возмущения" шкалы времени.
Чтобы не крутить несколько ручек, пока расстройку E-L не трогаем, трогаем только полосу. Настройки режима "втягивания" Dll следующие:
sgnrcvgln.cpp :
dll->setDftPullin(1.0);
dll->setDftEnd(0.025);
switch (getType()) {
case GlnL1OF:
msg = new SgnMsgLxOF(msg0x3);
frame = new FrameSyncGlnLxOF(Isym, Qsym, ksym, 200, 3, msg0x3);
df_Lit = 0.5625e6;
f0_0 = 1602.0e6;
setTep(1);
setOverlay(0, 0);
setND(10);
setChipRate(0.511e6);
dll->setTauZero(LightC / ChipRate);
dll->setDeltaTPullin(0.5*dll->getTauZero());
dll->setDeltaTCohEnd(0.5*dll->getTauZero());
dll->setDeltaTNonCohEnd(0.5*dll->getTauZero());
NC_locking = 5;
setLit(GlnsLits[ns]);
break;
dll.cpp :
if (!pulled) {
if (t < Tpullin/2){
dft = getDftPullin() - 2*(getDftPullin() - getDftEnd()) * t / Tpullin;
}
} else if (getDftMode() != bw_hold) {
// Выбор полосы по таблице в зависимости от с/ш
}
Состояние Dll "принтфится" в SgnRcv::updMeas2() :
Поддержка Dll от Pll выключена в функциях nonCoherent() и coherent().
Итого имеем время втягивания 240 с., но конечная полоса устанавливается в 2 раза быстрее и далее ждет. На 240 секунде поднимается флажок pullin и Dll переходит на работу по T = 5 мс.
Полученные графики с Oryx:
Что смущает - переходной процесс в дальности / дискриминаторе, который начинается на 120 секунде. Т.е. в этот момент полоса перестает изменяться, но флажок pulled еще не поднят, т.к. время втягивания 240 сек. Дальше видно, что после 240 сек. флажок pulled поднимается, и Dll переходит на работу с T = 5 мс, что видно по возросшим коэффициентам фильтра.














































[ Хронологический вид ]Комментарии
Войдите, чтобы комментировать.