Дискриминатор частоты оптимальный при малом отношении сигнал/шум
|
Дискриминатор описывается выражением
,
где
,
,
,
,
- число отсчетов за время
интегрирования в корреляторе,
- интервал дискретизации.
Особенности работы
Для работы дискриминатора требуется формирование особенных квадратур
. Они представляют собой обычные квадратуры, умноженные на линейно-возрастающую функцию
(индекс времени
растет - множитель растет). Аппаратно такой коррелятор не реализован. Есть предложение [1] заменить честный расчет
суммой взвешенных корреляционных сумм:

По этой методике весь интервал интегрирования в корреляторе разбивается на
равных частей длительностью
. На этих малых интервалах рассчитываются традиционные корреляционные суммы
, а потом проводится их взвешенное суммирование. Чем больше
, тем точнее оказывается приведенная методика. Допустим "большой" коррелятор копит
мс, тогда целесообразно выбрать
мс и
.
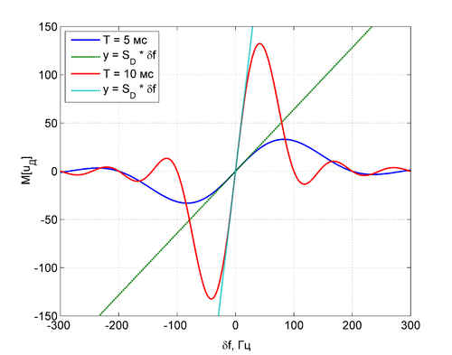
Дискриминационная характеристика
Дискриминационная характеристика [1]:
,
где
,
- амплитуда сигнала
,
- количество отчетов, накапливаемых в корреляторе,
- разность истинного и опорного параметров.
Крутизна при нулевой ошибке по частоте [1]:
Вид дискриминационной характеристики для разных времен накопления и
дБГц:
Флуктуационная характеристика
Дисперсия шума эквивалентного наблюдения частоты, т.е. шума с выхода дискриминатора, пересчитанного к его входу при нулевой расстройке по частоте [2]:
Сравнение с другими ЧД
Интересно сравнить дисперсию шумов по входу для различных дискриминаторов:
- Дисперсия шума на входе дискриминатора с временным сдвигом квадратурных компонент ("cross"). Обозначим ее как
:
- Дисперсия шума на входе рассматриваемого в этой статье дискриминатора:
Пусть cross дискриминатор реализован по схеме без перекрытия, тогда
и
,
или для СКО:
.
Дискриминатор cross проигрывает
около 15% по СКО во всем диапазоне с/ш. На рисунке ниже приведен график зависимости СКО эквивалентных шумов представленных ЧД от отношения сигнал/шум
convert: no images defined `/tmp/transform_733c6f23316b-1.png' @ error/convert.c/ConvertImageCommand/3044.
Далее построены нормированные на крутизну дискриминационные характеристики сравниваемых дискриминаторов. Как и при сравнении дисперсий шума, полагаем
.
Из приведенного рисунка следует вывод, что апертура обоих частотных дискриминаторов равна
.
- темп работы дискриминатора. Ранее дискриминаторы сравнивались при условии
, т.е. при одинаковом темпе работы. При анализе "cross" дискриминатора нужно помнить, что
в формулах его характеристик - это время когерентного накопления в корреляторе, а темп работы самого дискриминатора по схеме без перекрытия
.