Дискриминатор задержки NELP
Описание дискриминатора
Non-coherent Early minus Late Power (NELP) - некогерентный дискриминатор задержки, описываемый следующим соотношением:
,
где
,
,
,
.
- сдвиг дальномерного кода между запаздывающей и опережающей компонентами.
Дискриминационная характеристика
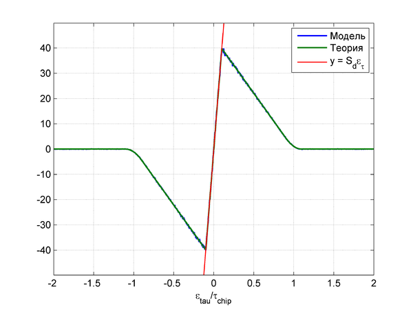
Дискриминационная характеристика описывается выражением (для квадратур с единичной дисперсией)
.
Ее крутизна
.
Для проверки формул составлена модель в Matlab.
В модели принято:
- длительность символа дальномерного кода
мкс,
- расстройка по частоте
Гц,
- каждая точка моделируемой дискриминационной характеристики усреднялась 1000 раз,
- корреляционная функция дальномерного кода соответствует сигналу с BPSK :
;
- коррелированность шумов квадратур E, P, L моделируется с помощью разложения Холецкого.
Результат моделирования для
дБГц,
мс,
:
Результаты моделирования для
дБГц,
мс,
:
Результаты моделирования для
дБГц,
мс,
:
Флуктуационная характеристика
Флуктуационная характеристика описывается выражением
.
Дисперсия шума эквивалентного наблюдения, т.е. шума с выхода дискриминатора, пересчитанного к его входу при нулевой расстройке
Аналитические выражения проверены на модели.
В модели принято:
- длительность символа дальномерного кода
мс,
- время накопления коррелятора
мс,
- усреднение проводилось по 5000 реализациям,
- расстройка по частоте
Гц,
- корреляционная функция дальномерного кода соответствует сигналу с BPSK :
;
- коррелированность шумов квадратур E, P, L моделируется с помощью разложения Холецкого.
Результаты моделирования:
Зависимость СКО шума на выходе дискриминатора от отношения сигнал/шум при
:
Зависимость СКО эквивалентных шумов от отношения сигнал/шум при
:
function r = ro( x )
global tauChip;
r = (abs(x) < tauChip).*(1 - abs(x)./tauChip);
end
Файл main.m
close all;
clear
clc
global tauChip
tauChip = 1e-3/511; % Длительность чипа
NoiseEnable = 1;
Np = 1000;
Tc = 0.001; % Период интегрирования в корреляторе
qcno_dB = 45;
stdn_IQ = 1; % СКО шума квадратурных сумм
qcno = 10^(qcno_dB/10);
A_IQ = stdn_IQ * sqrt(2 * qcno * Tc);
tauIst = tauChip/5;
deltaTau = tauChip/10;
Dp=stdn_IQ^2; % Дисперсия promt компоненты
Dpe=ro(deltaTau/2)*stdn_IQ^2; % Взаимная дисперсия promt-early/late
Del=ro(deltaTau)*stdn_IQ^2; % Взаимная дисперсия early-late
L=chol([Dp Dpe Dpe; % Используем разложение Холецкого
Dpe Dp Del;
Dpe Del Dp])';
tauExtr= [tauIst-2*tauChip:4*tauChip/1000:tauIst+2*tauChip];
NtauExtr = length(tauExtr);
EpsPhi = 1*rand(1,1)*2*pi;
EpsW = 1*10*2*pi;
SdTeor = 2*qcno*Tc*sinc(EpsW*Tc/2 /pi)^2*(4/tauChip - 2*(deltaTau/tauChip^2)); % Теоретическая крутизна
Ud = zeros(1,NtauExtr);
Udteor = zeros(1,NtauExtr);
p = nan(1,NtauExtr);
p_early = nan(1,NtauExtr);
p_late = nan(1,NtauExtr);
EpsTau = nan(1,NtauExtr);
for k = 1:NtauExtr
EpsTau(k) = tauIst - tauExtr(k);
p(k) = ro(EpsTau(k));
p_late(k) = ro(EpsTau(k)+deltaTau/2);
p_early(k) = ro(EpsTau(k)-deltaTau/2);
for n = 1:Np
nI = L * randn(3,1); % Применяем результат разложения Холецкого и получаем коррелированные шумы
nQ = L* randn(3,1);
mI = A_IQ * p(k) * sinc(EpsW*Tc/2 /pi) * cos(EpsW*Tc/2 + EpsPhi);
mIe = A_IQ*p_early(k) * sinc(EpsW*Tc/2 /pi) * cos(EpsW*Tc/2 + EpsPhi);
mIl = A_IQ*p_late(k) *sinc(EpsW*Tc/2 /pi) * cos(EpsW*Tc/2 + EpsPhi);
mQ = -A_IQ * p(k) * sinc(EpsW*Tc/2 /pi) * sin(EpsW*Tc/2 + EpsPhi);
mQe = -A_IQ*p_early(k) * sinc(EpsW*Tc/2 /pi) * sin(EpsW*Tc/2 + EpsPhi);
mQl = -A_IQ*p_late(k) * sinc(EpsW*Tc/2 /pi) * sin(EpsW*Tc/2 + EpsPhi);
I = mI + NoiseEnable*nI(1,1);
Ie = mIe + NoiseEnable*nI(2,1);
Il = mIl + NoiseEnable*nI(3,1);
Q = mQ + NoiseEnable*nQ(1,1);
Qe = mQe + NoiseEnable*nQ(2,1);
Ql = mQl + NoiseEnable*nQ(3,1);
Ud(k) = Ud(k) + (Ie^2-Il^2) + (Qe^2-Ql^2);
end
Udteor(k) = 2*qcno*Tc*(sinc(EpsW*Tc/2 /pi)^2)*(p_early(k)^2 - p_late(k)^2);
if ~mod(k,100)
fprintf('Progress: %.2f %%\n', k*100/NtauExtr)
end
end
plot(EpsTa[[:File:20200511_dep_Du_Sd2_qcn0_NELP.png]]u/tauChip, [Ud/Np; Udteor; SdTeor*EpsTau])
xlabel('\epsilon_{tau}/\tau_{chip}')
ylim([min(Udteor)-10 max(Udteor)+10])
grid on
Файл fluct.m
close all; clear; clc
global tauChip
tauChip = 1e-3/511; % Длительность чипа
LightC = 3e8;
NoiseEnable = 1;
Np = 5000;
Tc = 3e-3; % Период интегрирования в корреляторе
qcno_dB = 15:1:45;
qcno = 10.^(qcno_dB/10);
stdn_IQ = 13; % СКО шума квадратурных сумм
A_IQ = stdn_IQ * sqrt(2 * qcno * Tc);
tauIst =tauChip*rand(1,1);
deltaTau = tauChip/10;
Dp=stdn_IQ^2; % Дисперсия promt компоненты
Dpe=ro(deltaTau/2)*stdn_IQ^2; % Взаимная дисперсия promt-early/late
Del=ro(deltaTau)*stdn_IQ^2; % Взаимная дисперсия early-late
L=chol([Dp Dpe Dpe; % Используем разложение Холецкого
Dpe Dp Del;
Dpe Del Dp])';
tauExtr= tauIst-2*tauChip:4*tauChip/1000:tauIst+2*tauChip;
NtauExtr = length(tauExtr);
EpsPhi = 1*rand(1,1)*2*pi;
EpsW = 1*10*2*pi;
SdTeor = 2*qcno*Tc*stdn_IQ^2*sinc(EpsW*Tc/2 /pi)^2*(4/tauChip - 2*(deltaTau/tauChip^2)); % Теоретическая крутизна
Ud = zeros(1,NtauExtr);
Udteor = zeros(1,NtauExtr);
p = nan(1,NtauExtr);
p_early = nan(1,NtauExtr);
p_late = nan(1,NtauExtr);
EpsTau = nan(1,NtauExtr);
Du_sim = zeros(1, length(qcno));
Du_teor = nan(1, length(qcno));
for q = 1:length(qcno)
EpsTau = 0;
p = ro(EpsTau);
p_late = ro(EpsTau+deltaTau/2);
p_early = ro(EpsTau-deltaTau/2);
for n = 1:Np
nI = L * randn(3,1); % Применяем результат разложения Холецкого и получаем коррелированные шумы
nQ = L* randn(3,1);
mI = A_IQ(q) * p * sinc(EpsW*Tc/2 /pi) * cos(EpsW*Tc/2 + EpsPhi);
mIe = A_IQ(q)*p_early * sinc(EpsW*Tc/2 /pi) * cos(EpsW*Tc/2 + EpsPhi);
mIl = A_IQ(q)*p_late *sinc(EpsW*Tc/2 /pi) * cos(EpsW*Tc/2 + EpsPhi);
mQ = -A_IQ(q) * p * sinc(EpsW*Tc/2 /pi) * sin(EpsW*Tc/2 + EpsPhi);
mQe = -A_IQ(q)*p_early * sinc(EpsW*Tc/2 /pi) * sin(EpsW*Tc/2 + EpsPhi);
mQl = -A_IQ(q)*p_late * sinc(EpsW*Tc/2 /pi) * sin(EpsW*Tc/2 + EpsPhi);
I = mI + NoiseEnable*nI(1,1);
Ie = mIe + NoiseEnable*nI(2,1);
Il = mIl + NoiseEnable*nI(3,1);
Q = mQ + NoiseEnable*nQ(1,1);
Qe = mQe + NoiseEnable*nQ(2,1);
Ql = mQl + NoiseEnable*nQ(3,1);
udtau = -(Ie^2+Qe^2) + (Il^2+Ql^2);
Du_sim(q) = Du_sim(q) + udtau^2;
end
Du_sim(q) = Du_sim(q) / Np;
r1 = ro(deltaTau/2);
r2 = ro(2*deltaTau/2);
Du_teor(q) = (1 - r2) * 16 * qcno(q) * Tc * stdn_IQ^4 * (r1^2 + ((1 + r2) / (2 * qcno(q) * Tc)));
Du_norm = (4 * (1 - r2) * (r1^2 + ((1 + r2) / (2 * qcno(q) * Tc))))./...
((2*qcno(q)*Tc*(2/tauChip - (deltaTau/tauChip^2))^2));
end
% Du_norm = Du_teor./SdTeor.^2;
spec_sim = ['BPSK(1), \Delta=' sprintf('%.2f', deltaTau/tauChip) ' simul'];
spec_analit = ['BPSK(1), \Delta=' sprintf('%.2f', deltaTau/tauChip) ' analit'];
set(0,'DefaultAxesFontSize', 14)
figure(1)
li = plot(qcno_dB, sqrt(Du_sim)); hold on;
plot(qcno_dB, sqrt(Du_teor), '--', 'Color', li.Color)
legend(spec_sim, spec_analit);
xlabel('q_{c/n0}, dBHz', 'FontSize', 14)
ylabel('RMS ud noise', 'FontSize', 14);
grid on
figure(2)
li = plot(qcno_dB, LightC*sqrt(Du_sim)./SdTeor); hold on;
plot(qcno_dB, LightC*sqrt(Du_teor)./SdTeor, '--', 'Color', li.Color); hold on;
% plot(qcno_dB, LightC*sqrt(Du_norm), '--'); hold on; % дисперсия эквивалентных наблюдений
legend(spec_sim, spec_analit);
xlabel('q_{c/n0}, dBHz', 'FontSize', 14)
ylabel('RMS \delta \tau, m', 'FontSize', 14);
grid on

