28.07.16 Очередная смена частотного плана
Материал из SRNS
В процессе разработки НАП мы постоянно возвращаемся к выбору частотного плана. Не все частоты одинаково полезны!
Нам встретились три проблемы напрямую связанные с частотным планом:
- Постепенное расхождение фазовых измерений между L1 и L2 со скоростью порядка десятых м/с
- Постепенный уход нашей шкалы времени относительно шкалы другого приемника при условии тактирования от общего генератора
- Неравномерный ход нашей шкалы времени в отсутствии каких-либо коррекций
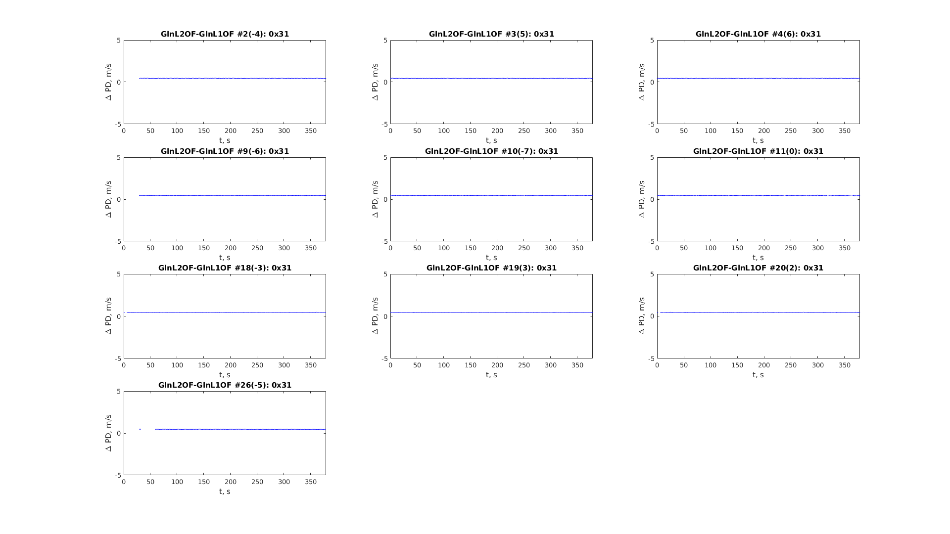
Расхождение фаз L1 и L2
Проявляется в том, что псевдочастоты в L1 и L2 имеют небольшую разность. Например, 0.1 м/с (кажется, было на 100 МГц тактовой) или 0.45 м/с (на 93.75 МГц тактовой). Предположительно вызывается тем, что частоты гетеродинов при их формировании из общей тактовой не соответствуют номиналам. Например, просим гетеродин 1584 Мгц, а получаем 1584.001 МГц из-за округления множителей в синтезаторе.

[ Хронологический вид ]Комментарии
Войдите, чтобы комментировать.