24.07.2015 Испытания приемника - июль

Материал из SRNS
Перейти к: навигация, поиск
Строка 46: Строка 46:
 
  |hidden = 1
 
  |hidden = 1
 
}}
 
}}
[[File:20150723_code-phaseFSURef1ms.png|300px]]
+
[[Файл:20150723_code-phaseFSURef1ms.png|300px]]
  
 
{|align="center"
 
{|align="center"

Версия 14:40, 24 июля 2015


Содержание

Рекомендации по записи экспериментов

Результаты испытаний нужно записывать, чтобы сравнивать текущий результат с тем, что было когда-то и не повторять одинаковые эксперименты.

Желательно записывать следующие данные:

  • дату испытания (в заголовке);
  • номер ревизии коррелятора;
  • номер ревизии исходников прошивки;
  • экземпляр Импалы;
  • условия испытаний;
  • цель испытаний;
  • ожидаемые результаты;
  • фактические результаты;
  • выводы.

2015.07.24 - Оценка СКО шума кодовых измерений дальности

  • Коррелятор Орикс, прошивка с md5sum: 4f37ccb3fc97221a5f60c7f6bd1455ba. В /tmp 162-ой платы этот md5 соответствует файлу somz_80ch_week.bit
  • Прошивка SVN@1714 с ключами clkMCR1, NEW_ADC_BOARD
  • Использован Oryx 162 из состава первого опытного образца + WHITE ADC BOARD
  • Работа по имитаторам SMBV '178', SMBV '176', сценарий - Moscow, RealNav Data. Сигнал GlnL1OF.

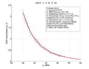
Цель испытаний: оценить СКО шума кодовых измерений дальности. В результате обработки наших измерений в НИИКП выявлено, что при уменьшении отношения с/ш, СКО шума кодовых измерений возрастает не так, как ожидается. Поставлен тест, суть которого - уменьшать отношение с/ш и смотреть за этим СКО. Для расчета СКО формируется разность кодовых и фазовых измерений для одного и того же спутника. Предполагается, что после взятия такой разности, останется шум кодовых наблюдений, шум фазовых наблюдений, ошибки многолучевости по фазе и коду и пр. Шумом фазовых наблюдений пренебрегаем ввиду его малости относительно шума по коду. Предполагается, что систематические ошибки измерений меняются медленно. Поэтому формируемая разность разбивается на куски по 100 с, из которых вычитается линейный тренд. СКО полученных 100 секундных выборок идет в зачет. Кроме того, в Matlabe написана модель ССЗ с поддержкой от ССФ, повторяющая код исходников на C++. На модели получена зависимости СКО разности кодовых и фазовых измерений от отношения с/ш для входного воздействия в виде шума наблюдений (динамика истинного процесса и модель ухода частоты ОГ выключены). Это, как ожидается, соответствует работе MCR по имитаторам сигналов и использованием общего с имитаторами ОГ (снимается ошибка из-за ОГ, отсутствует многолучевость).

Для всех картинок справедливо следующее:

1. Красный график - кривая из модели DLLPLL

2. На одном отношении с/ш тест сидит 5 минут -> в идеале с одного отношения с/ш снимет 3 точки СКО. В дальнейшем наберем более обширную статистику.

3. Шаг по желаемому (то, что хотелось бы иметь) с/ш 1 дБ. Точки СКО выставляются по тому с/ш, которое реально было в файле измерений.

Накопление в корреляторе 1 мс

20150723 code-phaseFSURef1ms.png

Опора от FSU Опора от SMBV с OCXO

Модуляция отношения сигнал/шум уменьшилась, срыв слежения происходит реже.

[ Хронологический вид ]Комментарии

(нет элементов)

Войдите, чтобы комментировать.

Персональные инструменты
Пространства имён

Варианты
Действия
SRNS Wiki
Рабочие журналы
Приватный файлсервер
QNAP Сервер
Инструменты